ГОСТ Р ИСО 9735-8-2016 Электронный обмен данными в управлении, торговле и на транспорте (EDIFACT). Синтаксические правила для прикладного уровня (версия 4, редакция 1). Часть 8. Ассоциированные данные в EDI
ГОСТ Р ИСО
Скачать ГОСТ в PDF или DOC бесплатно
Основная информация
Обозначение:
ГОСТ Р ИСО 9735-8-2016
Статус:
Действует
Тип:
ГОСТ Р ИСО
Название русское:
Электронный обмен данными в управлении, торговле и на транспорте (EDIFACT). Синтаксические правила для прикладного уровня (версия 4, редакция 1). Часть 8. Ассоциированные данные в EDI
Название английское:
Electronic data interchange for administration, commerce and transport (EDIFACT). Application level syntax rules (Syntax version number: 4, Syntax release number: 1). Part 8. Associated data in EDI
Даты и сроки
Дата издания:
12-04-18
Дата введения в действие:
09-01-17
Дата завершения срока действия:
-
Применение и описание
Область и условия применения:
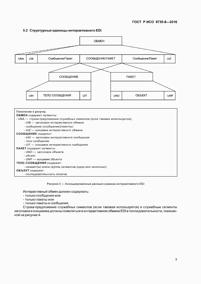
Настоящий стандарт определяет синтаксические правила, касающиеся ассоциированных данных EDI, которые должны участвовать в информационном обмене между прикладными компьютерными системами. Тем самым обеспечивается метод передачи данных, который невозможно реализовать посредством пакетного или интерактивного сообщения EDIFACT. Передаваемые данные могут создаваться другими приложениями (например, STEP, CAD и др.) и называются в настоящем стандарте ассоциированными данными
Связи и замены
Заменяющий:
-
Описание стандарта
ГОСТ Р ИСО 9735-8-2016 Электронный обмен данными в управлении, торговле и на транспорте (EDIFACT). Синтаксические правила для прикладного уровня (версия 4, редакция 1). Часть 8. Ассоциированные данные в EDI
Страницы стандарта














