ГОСТ Р ИСО 17090-4-2016 Информатизация здоровья. Инфраструктура с открытым ключом. Часть 4. Электронные подписи медицинских документов
ГОСТ Р ИСО
Скачать ГОСТ в PDF или DOC бесплатно
Основная информация
Обозначение:
ГОСТ Р ИСО 17090-4-2016
Статус:
Действует
Тип:
ГОСТ Р ИСО
Название русское:
Информатизация здоровья. Инфраструктура с открытым ключом. Часть 4. Электронные подписи медицинских документов
Название английское:
Health informatics. Public key infrastructure. Part 4. Digital signatures for healthcare documents
Даты и сроки
Дата издания:
11-30-18
Дата введения в действие:
01-01-18
Дата завершения срока действия:
-
Применение и описание
Область и условия применения:
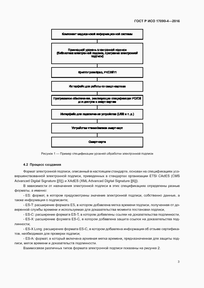
В настоящем стандарте приведены минимальные требования к созданию и проверке электронных подписей и соответствующих сертификатов, а также к их форматам, способствующие обеспечению возможности обмена электронными подписями и предотвращения некорректных или юридически не признаваемых электронных подписей. Кроме того, в настоящем стандарте определено доказываемое соответствие политике ИОК, необходимое в сфере здравоохранения. В настоящем стандарте признаются форматы долговременной электронной подписи, обеспечивающие целостность и неоспоримость длительно хранящейся электронной медицинской информации. В целях улучшения и гарантирования интероперабельности в сфере здравоохранения настоящий стандарт соответствует стандартам ISO/ETSI, определяющим форматы долговременной электронной подписи. Никакие ограничения на субъект подписываемых данных и их формат в настоящем стандарте не накладываются
Связи и замены
Заменяющий:
-
Описание стандарта
ГОСТ Р ИСО 17090-4-2016 Информатизация здоровья. Инфраструктура с открытым ключом. Часть 4. Электронные подписи медицинских документов
Страницы стандарта


























