ГОСТ Р 57509-2017 Информатизация здоровья. Обмен данными с персональными медицинскими приборами. Часть 10407. Специализация устройства. Монитор артериального давления
ГОСТ Р
Скачать ГОСТ в PDF или DOC бесплатно
Основная информация
Обозначение:
ГОСТ Р 57509-2017
Статус:
Действует
Тип:
ГОСТ Р
Название русское:
Информатизация здоровья. Обмен данными с персональными медицинскими приборами. Часть 10407. Специализация устройства. Монитор артериального давления
Название английское:
Health informatics. Personal health device communication. Part 10407. Device specialization. Blood pressure monitor
Даты и сроки
Дата издания:
06-28-17
Дата введения в действие:
07-01-19
Дата завершения срока действия:
-
Применение и описание
Область и условия применения:
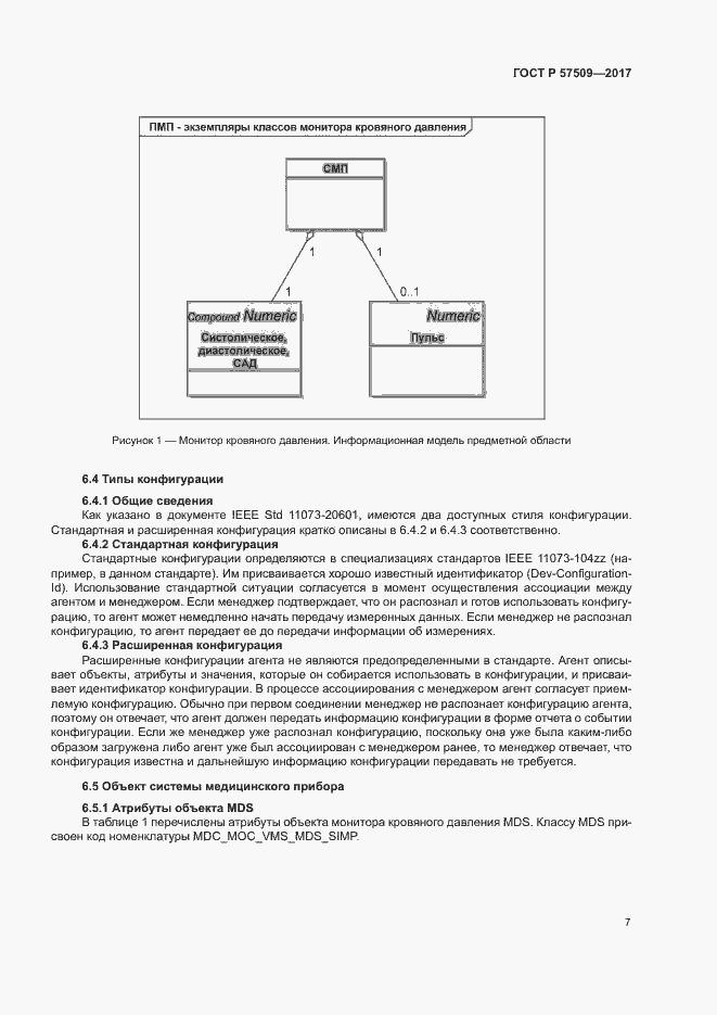
В контексте семейства стандартов ИСО/ИИЭР 11073 по обмену данными с медицинскими приборами настоящий стандарт дает нормативное определение обмена данными между персональными телемедицинскими мониторами артериального давления и вычислительными устройствами (например, мобильными телефонами, персональными компьютерами, персональными медицинскими приборами и ТВ-приставками), при котором достигается интероперабельность plug-and-play («вставил-заработало»). Он усиливает соответствующие разделы существующих стандартов, включая терминологию ИСО/ИИЭР 11073, информационные модели, прикладные профили стандартов и стандарты передачи данных. Он описывает использование конкретных кодов терминов, форматов и поведения в телемедицинской среде, ограничивая необязательность требований, приведенных в базовых стандартах, в пользу интероперабельности. Настоящий стандарт определяет основные требования к коммуникационной функциональности персональных телемедицинских мониторов артериального давления
Связи и замены
Заменяющий:
-
Описание стандарта
ГОСТ Р 57509-2017 Информатизация здоровья. Обмен данными с персональными медицинскими приборами. Часть 10407. Специализация устройства. Монитор артериального давления
Страницы стандарта

















































