ГОСТ Р 57657-2017 Пространственные данные. Спецификация информационного продукта
ГОСТ Р
Скачать ГОСТ в PDF или DOC бесплатно
Основная информация
Обозначение:
ГОСТ Р 57657-2017
Статус:
Заменен
Тип:
ГОСТ Р
Название русское:
Пространственные данные. Спецификация информационного продукта
Название английское:
Spatial data. Data product specifications
Даты и сроки
Дата издания:
11-30-18
Дата введения в действие:
06-01-18
Дата завершения срока действия:
02-01-25
Применение и описание
Область и условия применения:
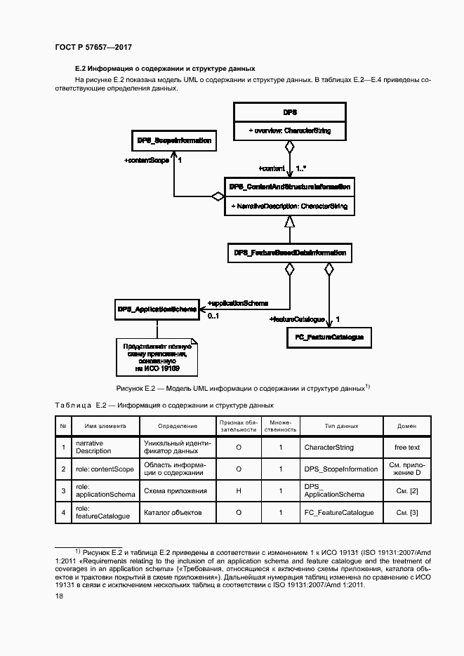
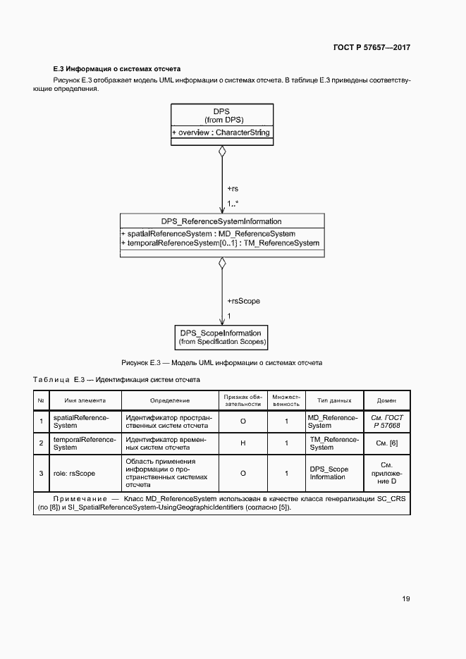
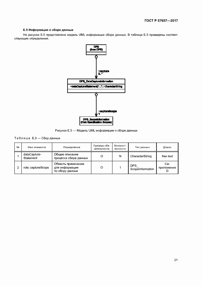
Настоящий стандарт устанавливает требования к спецификации информационного продукта в области пространственных данных, основанные на концепциях других нормативных документов [1]-[8]. Настоящий стандарт предназначен для создания спецификаций в целях их четкого и ясного изложения и дальнейшего использования по назначению
Связи и замены
Заменяющий:
ГОСТ Р 70846.13-2024
Описание стандарта
ГОСТ Р 57657-2017 Пространственные данные. Спецификация информационного продукта
Страницы стандарта


































