ГОСТ Р 57846-2017 Информатизация здоровья. Связь с медицинскими приборами индивидуального контроля состояния здоровья. Часть 10404. Специализация прибора. Пульсовой оксиметр
ГОСТ Р
Скачать ГОСТ в PDF или DOC бесплатно
Основная информация
Обозначение:
ГОСТ Р 57846-2017
Статус:
Действует
Тип:
ГОСТ Р
Название русское:
Информатизация здоровья. Связь с медицинскими приборами индивидуального контроля состояния здоровья. Часть 10404. Специализация прибора. Пульсовой оксиметр
Название английское:
Health informatics. Personal health device communication. Part 10404. Device specialization. Pulse oximeter
Даты и сроки
Дата издания:
11-27-17
Дата введения в действие:
07-01-19
Дата завершения срока действия:
-
Применение и описание
Область и условия применения:
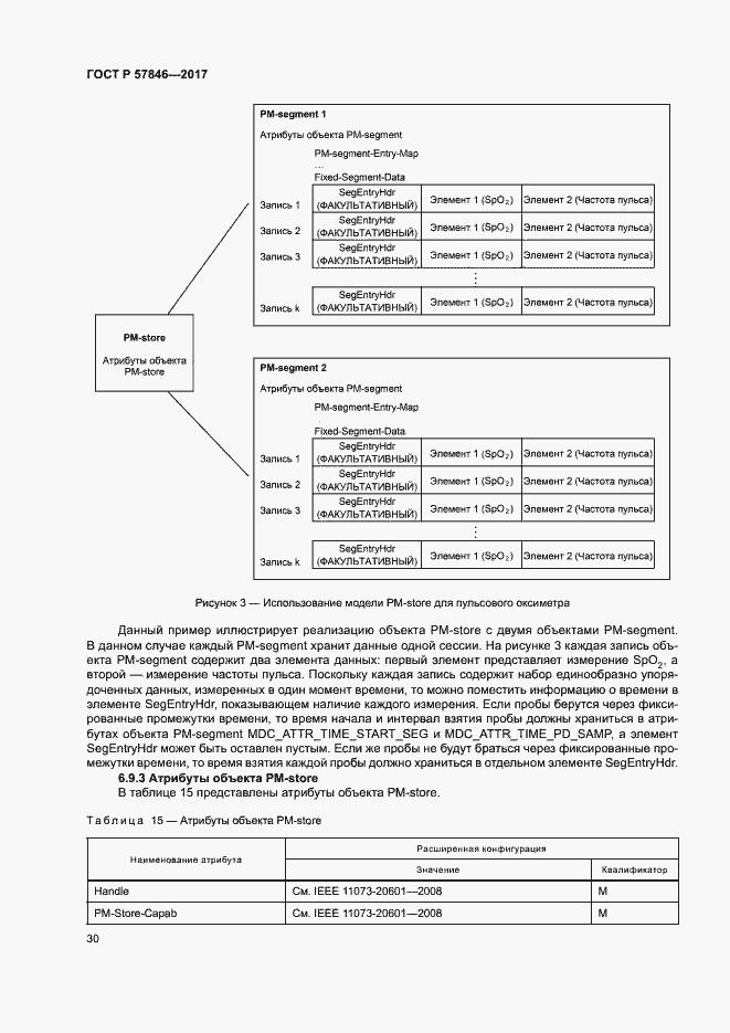
В рамках комплекса стандартов ISO/IEEE 11073 по взаимосвязи с медифцинскими приборами настоящий стандарт устанавливает нормативное определение взаимосвязи между персональными телемедицинскими приборами пульсовыми оксиметрами и вычислительными устройствам, обеспечивающей интероперабельность с автоматическим конфигурированием
Связи и замены
Заменяющий:
-
Описание стандарта
ГОСТ Р 57846-2017 Информатизация здоровья. Связь с медицинскими приборами индивидуального контроля состояния здоровья. Часть 10404. Специализация прибора. Пульсовой оксиметр
Страницы стандарта









































































