ГОСТ Р МЭК 61131-9-2017 Контролеры программируемые. Часть 9. Одноточечный интерфейс цифровой связи для небольших датчиков и исполнительных устройств
ГОСТ Р МЭК
Скачать ГОСТ в PDF или DOC бесплатно
Основная информация
Обозначение:
ГОСТ Р МЭК 61131-9-2017
Статус:
Действует
Тип:
ГОСТ Р МЭК
Название русское:
Контролеры программируемые. Часть 9. Одноточечный интерфейс цифровой связи для небольших датчиков и исполнительных устройств
Название английское:
Programmable controllers. Singl-drop digital communication interface for small sensors and actuators (SDCI)
Даты и сроки
Дата издания:
10-19-17
Дата введения в действие:
09-01-18
Дата завершения срока действия:
-
Применение и описание
Область и условия применения:
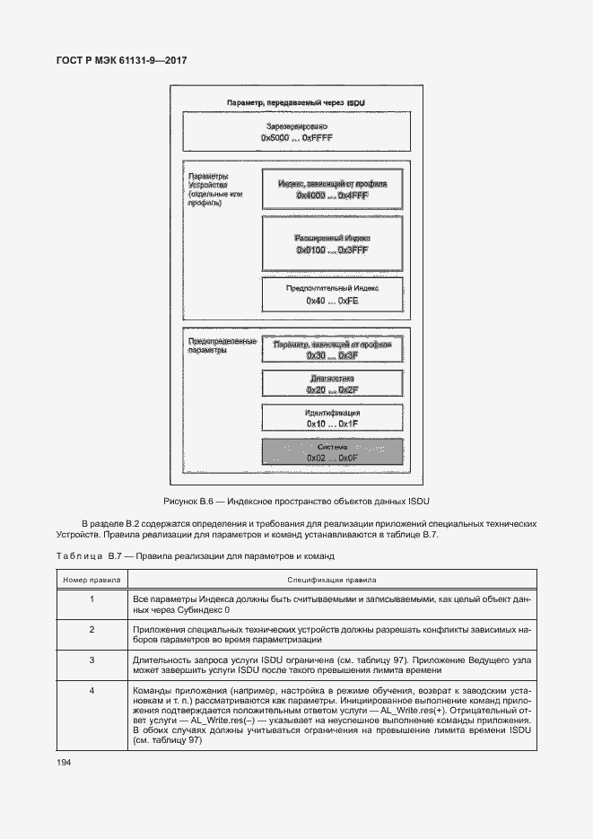
Настоящий стандарт устанавливает технологию одноточечного интерфейса цифровой связи SDCI для небольших датчиков и исполнительных устройств (более известных под названием IO-Link tm1, которая расширяет традиционные интерфейсы цифрового ввода и вывода, определенные в МЭК 61131-2, к двухточечной линии связи. Данная технология делает возможным передачу параметров Устройствам и доставку диагностических данных от Устройств к системе автоматизации. Данная технология, в основном, предназначена для применения в системах автоматизации производства с небольшими датчиками и исполнительными устройствами, которые включают в себя небольшие и экономически эффективные микроконтроллеры. Настоящий стандарт устанавливает услуги связи SDCI и протокол (физический уровень, канальный уровень и прикладной уровень в соответствии с эталонной моделью ISO/OSI) как для Ведущих узловSDCI, так и для Устройств. Настоящий стандарт также устанавливает требования к испытаниям на электромагнитную совместимость. Настоящий стандарт не распространяется на интерфейсы связи или системы, включающие многоточечные соединения, а также интеграцию SDCI в системах более высокого уровня, таких как полевые шины
Связи и замены
Заменяющий:
-
Описание стандарта
ГОСТ Р МЭК 61131-9-2017 Контролеры программируемые. Часть 9. Одноточечный интерфейс цифровой связи для небольших датчиков и исполнительных устройств
Страницы стандарта

















































































































































































































































