ГОСТ ISO/TS 22220-2013 Информатизация здоровья. Идентификация субъектов медицинской помощи
ГОСТ Р ИСО/ТС
Скачать ГОСТ в PDF или DOC бесплатно
Основная информация
Обозначение:
ГОСТ ISO/TS 22220-2013
Статус:
Действует
Тип:
ГОСТ Р ИСО/ТС
Название русское:
Информатизация здоровья. Идентификация субъектов медицинской помощи
Название английское:
Health informatics. Identification of subjects of health care
Даты и сроки
Дата регистрации:
11-05-13
Дата издания:
09-14-15
Дата введения в действие:
07-01-15
Дата завершения срока действия:
-
Применение и описание
Область и условия применения:
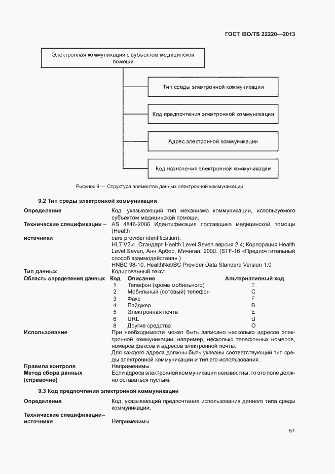
В настоящем стандарте описаны элементы данных и структура данных, пригодные для точной идентификации лиц в здравоохранении, соответствующей процедурам и учитывающей особенности процедур в условиях личного общения с применением компьютерной технологии или при взаимодействии между компьютерными системами
Связи и замены
Заменяющий:
-
Описание стандарта
ГОСТ ISO/TS 22220-2013 Информатизация здоровья. Идентификация субъектов медицинской помощи
Страницы стандарта





















































































