ГОСТы >
35.240.30 Применение приложений ИТ в области информации, документации и в издательском деле >
ГОСТ Р ИСО/МЭК 13250-3-2012
ГОСТ Р ИСО/МЭК 13250-3-2012 Информационная технология. Тематические карты. Часть 3. Синтаксис XML
ГОСТ Р ИСО/МЭК
Скачать ГОСТ в PDF или DOC бесплатно
Основная информация
Обозначение:
ГОСТ Р ИСО/МЭК 13250-3-2012
Статус:
Действует
Тип:
ГОСТ Р ИСО/МЭК
Название русское:
Информационная технология. Тематические карты. Часть 3. Синтаксис XML
Название английское:
Information technology. Topic Maps. Part 3. XML syntax
Даты и сроки
Дата издания:
02-25-19
Дата введения в действие:
01-01-14
Дата завершения срока действия:
-
Применение и описание
Область и условия применения:
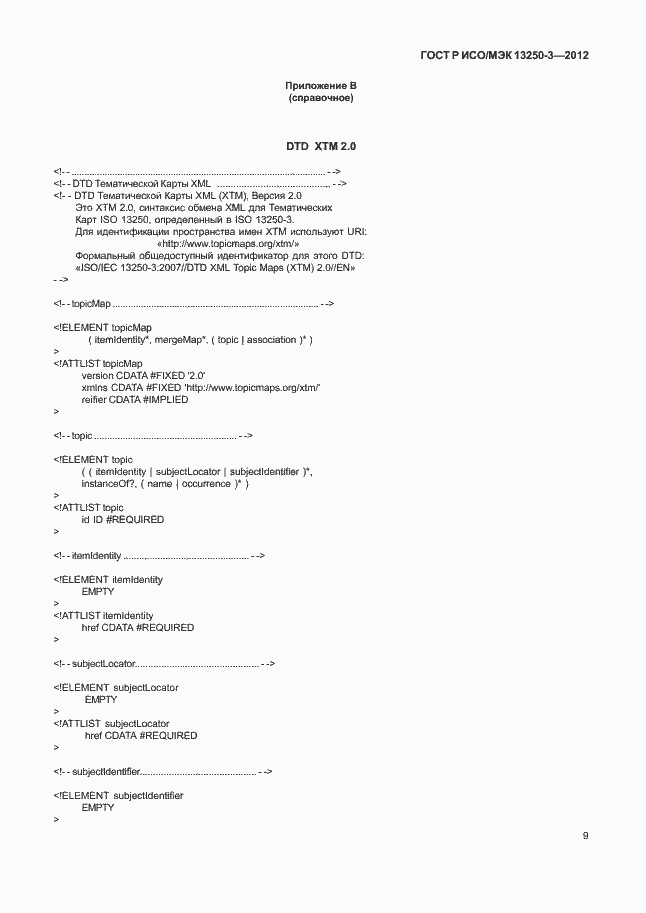
В настоящем стандарте определен основанный на XML синтаксис обмена для тематических карт, который может быть использован для обмена экземплярами моделей данных, определенных в ИСО/МЭК 13250-2. В настоящем стандарте также определено отображение из синтаксиса обмена в модель данных. Синтаксис определен со схемой RELAX-NG, тем самым, обеспечивая большую точность отображения в модель данных, что так же эффективно определяет интерпретацию синтаксиса
Связи и замены
Заменяющий:
-
Описание стандарта
ГОСТ Р ИСО/МЭК 13250-3-2012 Информационная технология. Тематические карты. Часть 3. Синтаксис XML
Страницы стандарта






















