ГОСТы >
35.240.15 Карты идентификационные. Карты с микросхемами. Биометрия >
ГОСТ Р ИСО/МЭК 7816-4-2004
ГОСТ Р ИСО/МЭК 7816-4-2004 Информационная технология. Карты идентификационные. Карты на интегральных схемах с контактами. Часть 4. Межотраслевые команды для обмена
ГОСТ Р ИСО/МЭК
Скачать ГОСТ в PDF или DOC бесплатно
Основная информация
Обозначение:
ГОСТ Р ИСО/МЭК 7816-4-2004
Статус:
Заменен
Тип:
ГОСТ Р ИСО/МЭК
Название русское:
Информационная технология. Карты идентификационные. Карты на интегральных схемах с контактами. Часть 4. Межотраслевые команды для обмена
Название английское:
Information technology. Identification cards. Integrated circuit(s) cards with contacts. Part 4. Interindustry commands for interchange
Даты и сроки
Дата издания:
09-03-04
Дата введения в действие:
01-01-05
Дата завершения срока действия:
01-01-15
Применение и описание
Область и условия применения:
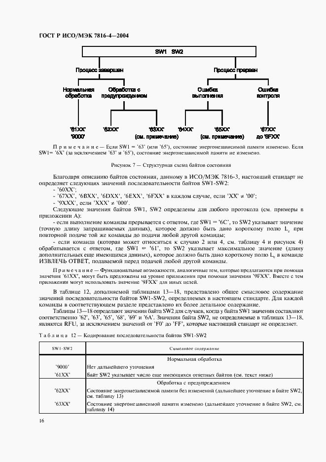
Настоящий стандарт устанавливает: - содержание сообщений (команд и ответов), передаваемых устройством сопряжения карте и обратно; - структуру и содержание байтов предыстории, посылаемых картой во время ответа на восстановление; - структуру файлов и данных, прослеживаемую на стыке между картой и устройством сопряжения при обработке межотраслевых команд; - методы доступа к файлам и данным, содержащимся в карте; - архитектуру безопасности, определяющую права доступа к файлам и данным, содержащимся в карте; - методы безопасного обмена сообщениями; - методы доступа к алгоритмам, обрабатываемым картой (исключая описание самих алгоритмов). Настоящий стандарт не распространяется на реализацию обмена данными внутри карты и/или внешнего окружения. Стандарт допускает дальнейшую стандартизацию дополнительных межотраслевых команд и архитектур безопасности
Связи и замены
Заменяющий:
ГОСТ Р ИСО/МЭК 7816-4-2013
Описание стандарта
ГОСТ Р ИСО/МЭК 7816-4-2004 Информационная технология. Карты идентификационные. Карты на интегральных схемах с контактами. Часть 4. Межотраслевые команды для обмена
Страницы стандарта













































































