ГОСТы >
35.240.15 Карты идентификационные. Карты с микросхемами. Биометрия >
ГОСТ Р ИСО/МЭК 7816-4-2013
ГОСТ Р ИСО/МЭК 7816-4-2013 Карты идентификационные. Карты на интегральных схемах. Часть 4. Организация, защита и команды для обмена
ГОСТ Р ИСО/МЭК
Скачать ГОСТ в PDF или DOC бесплатно
Основная информация
Обозначение:
ГОСТ Р ИСО/МЭК 7816-4-2013
Статус:
Действует
Тип:
ГОСТ Р ИСО/МЭК
Название русское:
Карты идентификационные. Карты на интегральных схемах. Часть 4. Организация, защита и команды для обмена
Название английское:
Identification cards. Integrated circuit cards. Part 4. Organization, security and commands for interchange
Даты и сроки
Дата издания:
10-17-14
Дата введения в действие:
01-01-15
Дата завершения срока действия:
-
Применение и описание
Область и условия применения:
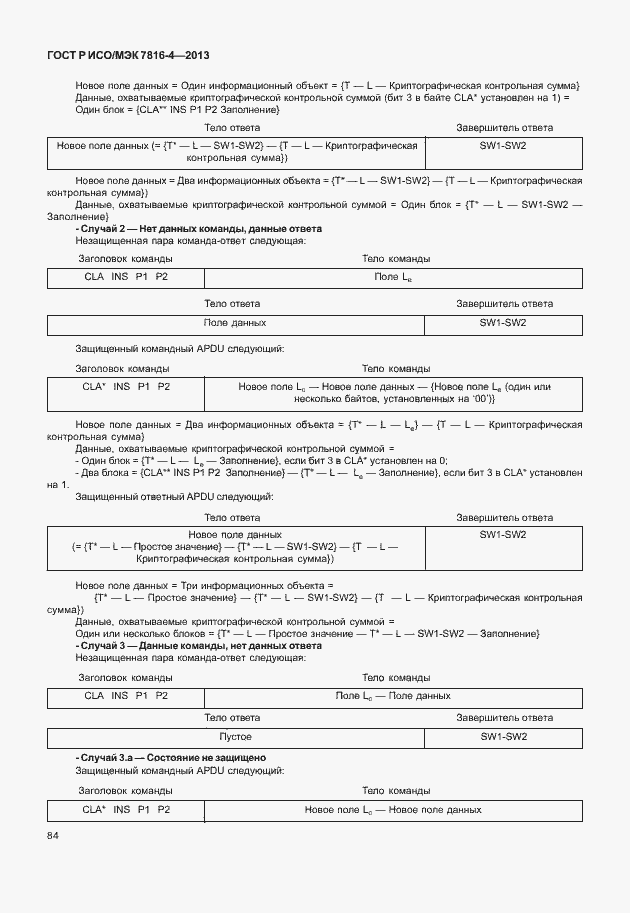
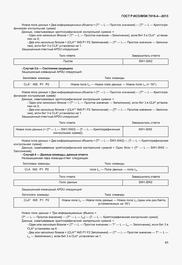
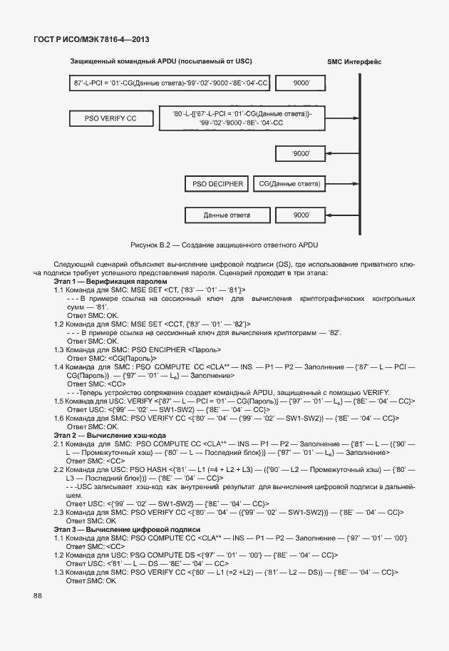
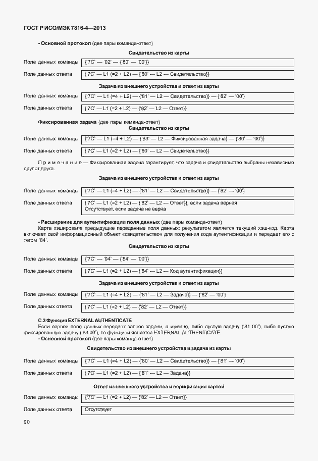
Настоящий стандарт устанавливает: - содержание пар команда-ответ, передаваемых между устройством сопряжения и картой; - средства извлечения элементов данных и информационных объектов из карты; - структуры и содержание байтов предыстории для описания рабочих характеристик карт; - структуры для приложений и данных в карте, прослеживаемые на стыке между картой и устройством сопряжения при обработке команд; - методы доступа к файлам и данным, содержащимся в карте; - архитектуру безопасности, определяющую права доступа к файлам и данным, содержащимся в карте; - средства и механизмы для идентификации и способов адресации приложений, содержащихся в карте; - методы безопасного обмена сообщениями; - методы доступа к алгоритмам, обрабатываемым картой (исключая описание самих алгоритмов); Стандарт не распространяется на реализацию обмена данными внутри карты или внешнего устройства. Настоящий стандарт не зависит от технологии физического сопряжения. Он применяется к картам, имеющим доступ при помощи одного или нескольких следующих методов: контактов, поверхностного действия и радио частоты
Связи и замены
Заменяющий:
-
Взамен:
ГОСТ Р ИСО/МЭК 7816-4-2004
Описание стандарта
ГОСТ Р ИСО/МЭК 7816-4-2013 Карты идентификационные. Карты на интегральных схемах. Часть 4. Организация, защита и команды для обмена
Страницы стандарта




































































































