ГОСТ Р 52573-2006 Географическая информация. Метаданные
ГОСТ Р
Скачать ГОСТ в PDF или DOC бесплатно
Основная информация
Обозначение:
ГОСТ Р 52573-2006
Статус:
Действует
Тип:
ГОСТ Р
Название русское:
Географическая информация. Метаданные
Название английское:
Geographic information. Metadata
Даты и сроки
Дата издания:
11-27-06
Дата введения в действие:
01-01-07
Дата завершения срока действия:
-
Применение и описание
Область и условия применения:
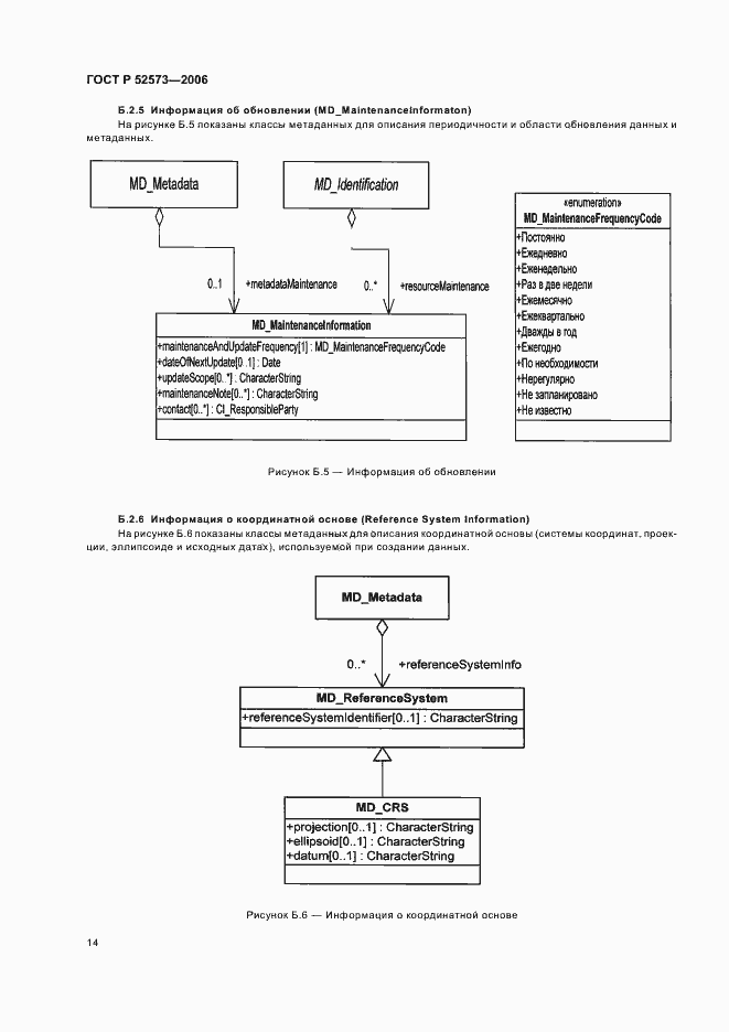
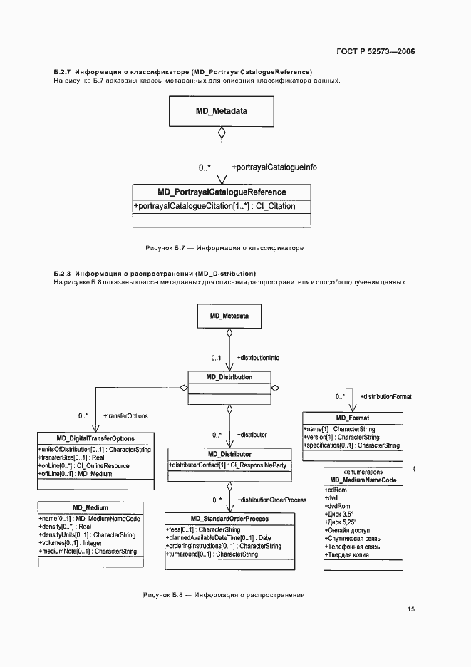
Настоящий стандарт распространяется на метаданные пространственных данных и метаданные услуг, связанные с предоставлением пространственных данных пользователям. Стандарт устанавливает методологию формирования метаданных и определяет: - базовый набор метаданных, необходимый и достаточный для основных операций, таких как поиск данных, определение соответствия данных выдвигаемым требованиям, доступ к данным и их использование; - обязательные и условные пакеты метаданных, сущности и элементы метаданных; - дополнительные (необязательные) элементы метаданных, позволяющие при необходимости использовать их расширенное описание. Стандарт предназначен для применения учреждениями, организациями и предприятиями, создающими геоинформационные системы различного назначения, базы и банки пространственных данных, а также автоматизированные системы обработки пространственных данных, в том числе в сети Интернет
Связи и замены
Заменяющий:
-
Изменения и переиздания
Список изменений:
№0 от (рег. ) «Дата введения перенесена»
Описание стандарта
ГОСТ Р 52573-2006 Географическая информация. Метаданные
Страницы стандарта



























































Приложение №1: Поправка к ГОСТ Р 52573-2006 Обозначение: Поправка к ГОСТ Р 52573-2006 Дата введения в действие: 01.03.2007
