ГОСТ Р 58501-2019 Информатизация здоровья. Обмен данными с персональными медицинскими приборами. Часть 10425. Специализация прибора: глюкометр непрерывного действия (CGM)
ГОСТ Р
Скачать ГОСТ в PDF или DOC бесплатно
Основная информация
Обозначение:
ГОСТ Р 58501-2019
Статус:
Действует
Тип:
ГОСТ Р
Название русское:
Информатизация здоровья. Обмен данными с персональными медицинскими приборами. Часть 10425. Специализация прибора: глюкометр непрерывного действия (CGM)
Название английское:
Health informatics. Personal health device communication. Part 10425. Device specialization: continuous glucose monitor (CGM)
Даты и сроки
Дата издания:
10-15-19
Дата введения в действие:
05-01-20
Дата завершения срока действия:
-
Применение и описание
Область и условия применения:
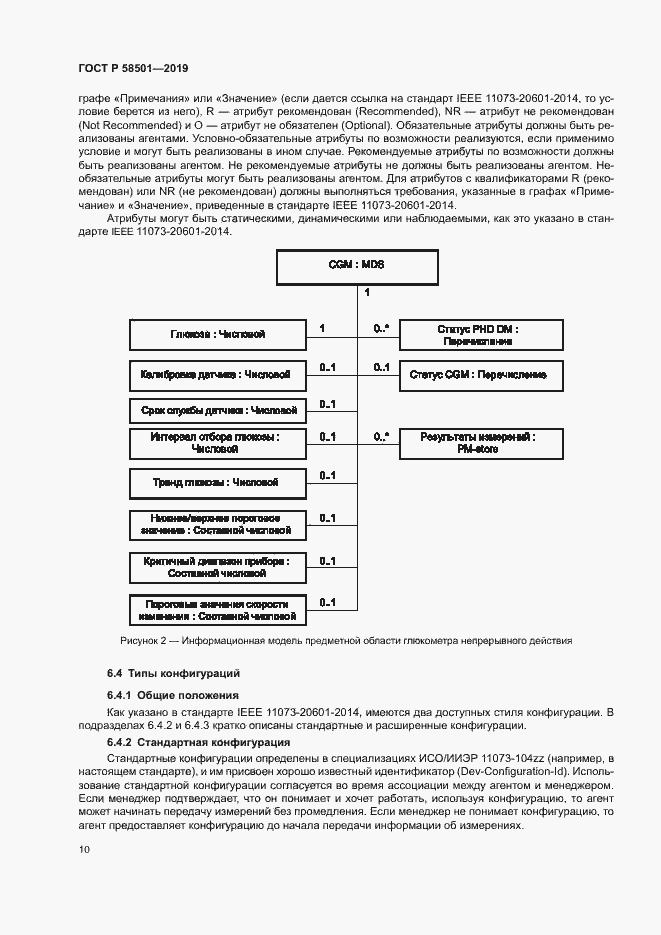
Настоящий стандарт устанавливает нормативное определение обмена данными между глюкометрами непрерывного действия(CGM) и менеджерами (например, сотовыми телефонами, персональными компьютерами, бытовыми медицинскими приборами, телевизионными приставками), при котором обеспечивается интероперабельность с автоматическим конфигурированием. В настоящем стандарте используются соответствующие части существующих стандартов, включая терминологию и информационные модели ИСО/ИИЭР 11073. В нем указывается использование специфичных кодов терминов, форматов, и вариантов поведения в телемедицинской среде, ограничивающих необязательность основных инфраструктур в пользу интероперабельности. В настоящем стандарте определена общая основа коммуникационной функциональности устройств CGM. В этом контексте CGM относится к регулярному (как правило, через 5 мин) измерению уровня глюкозы в организме с помощью датчика, постоянно закрепленного на теле
Связи и замены
Заменяющий:
-
Описание стандарта
ГОСТ Р 58501-2019 Информатизация здоровья. Обмен данными с персональными медицинскими приборами. Часть 10425. Специализация прибора: глюкометр непрерывного действия (CGM)
Страницы стандарта













































































