ГОСТ Р 58676-2019 Электронная конструкторская документация. Виды преобразований
ГОСТ Р
Скачать ГОСТ в PDF или DOC бесплатно
Основная информация
Обозначение:
ГОСТ Р 58676-2019
Статус:
Заменен
Тип:
ГОСТ Р
Название русское:
Электронная конструкторская документация. Виды преобразований
Название английское:
Electronic design documentation. Types of transformations
Даты и сроки
Дата издания:
12-19-19
Дата введения в действие:
06-01-20
Дата завершения срока действия:
03-01-24
Применение и описание
Область и условия применения:
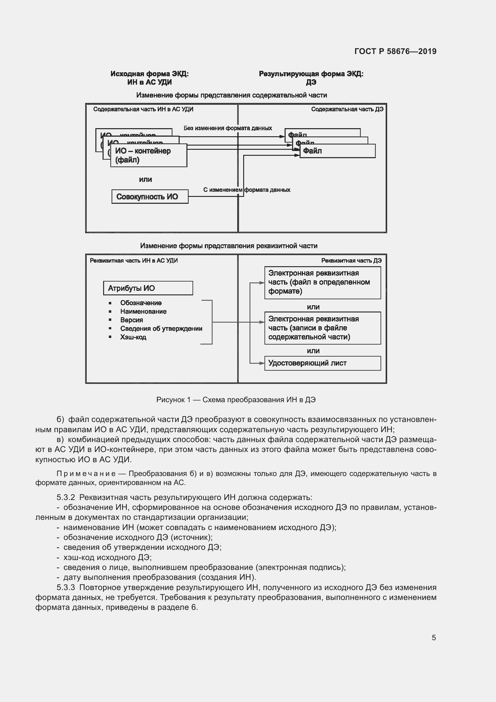
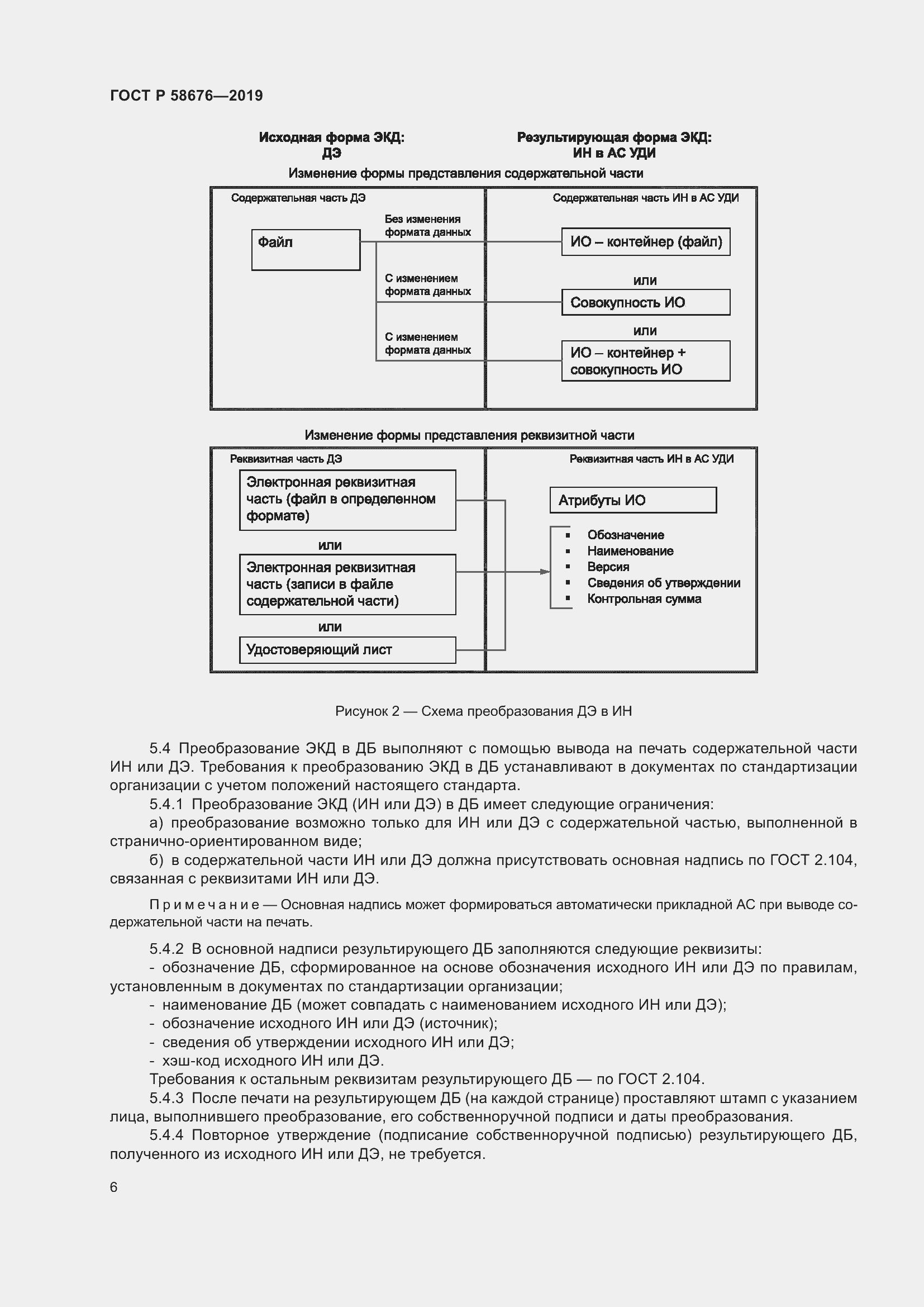
Настоящий стандарт устанавливает виды преобразований электронной конструкторской документации, представленной в различных формах и форматах. Настоящий стандарт распространяется на изделия машиностроения и приборостроения, в том числе на продукцию военного и двойного назначения
Связи и замены
Заменяющий:
ГОСТ Р 2.531-2023
Описание стандарта
ГОСТ Р 58676-2019 Электронная конструкторская документация. Виды преобразований
Страницы стандарта















