ГОСТ Р 58671-2019 Карты идентификационные. Карты на интегральных схемах. Часть 11. Верификация личности биометрическими методами
ГОСТ Р
Скачать ГОСТ в PDF или DOC бесплатно
Основная информация
Обозначение:
ГОСТ Р 58671-2019
Статус:
Действует
Тип:
ГОСТ Р
Название русское:
Карты идентификационные. Карты на интегральных схемах. Часть 11. Верификация личности биометрическими методами
Название английское:
Identification cards. Integrated circuit cards. Part 11. Personal verification through biometric methods
Даты и сроки
Дата издания:
02-11-20
Дата введения в действие:
06-01-20
Дата завершения срока действия:
-
Применение и описание
Область и условия применения:
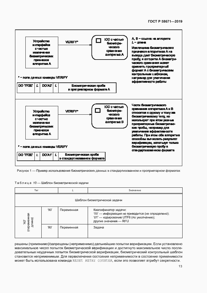
Настоящий стандарт устанавливает межотраслевые команды, связанные с системой защиты и используемые для биометрической верификации личности с помощью карт на интегральных схемах. В настоящем стандарте также определены структура данных и методы доступа к данным для использования карты в качестве носителя биометрического контрольного шаблона и/или устройства, позволяющего выполнить верификацию биометрической пробы владельца карты (т. е. биометрическое сравнение на идентификационной карте). Биометрическая идентификация личности, а также требования к криптографической защите информации, которые используются для обеспечения подлинности, целостности и конфиденциальности хранимых и передаваемых биометрических данных, выходят за рамки настоящего стандарта
Связи и замены
Заменяющий:
-
Взамен:
ГОСТ Р ИСО/МЭК 7816-11-2013
Описание стандарта
ГОСТ Р 58671-2019 Карты идентификационные. Карты на интегральных схемах. Часть 11. Верификация личности биометрическими методами
Страницы стандарта






























