ГОСТ Р 55062-2021 Информационные технологии. Интероперабельность. Основные положения
ГОСТ Р
Скачать ГОСТ в PDF или DOC бесплатно
Основная информация
Обозначение:
ГОСТ Р 55062-2021
Статус:
Действует
Тип:
ГОСТ Р
Название русское:
Информационные технологии. Интероперабельность. Основные положения
Название английское:
Information technologies. Industrial automation systems and integration. Interoperability. Basic principles
Даты и сроки
Дата издания:
11-16-21
Дата введения в действие:
04-30-22
Дата завершения срока действия:
-
Применение и описание
Область и условия применения:
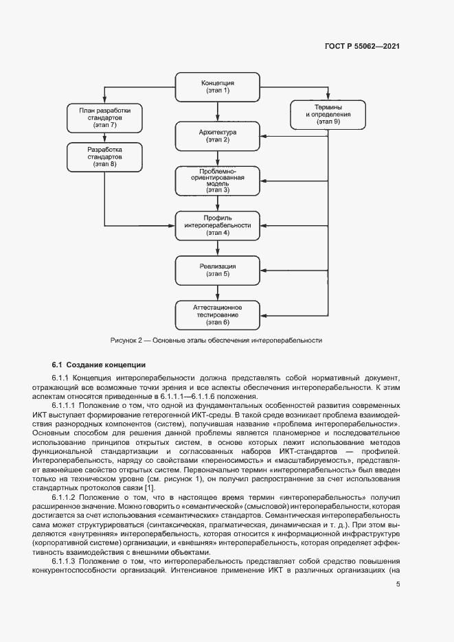
Настоящий стандарт определяет: - основные понятия, связанные с понятием «интероперабельность»; - эталонную модель интероперабельности; - единый подход (методику) к обеспечению интероперабельности информационных систем широкого класса, представляющую метатехнологию; - основные и вспомогательные этапы по достижению интероперабельности. Настоящий стандарт предназначен для заказчиков, поставщиков, разработчиков, потребителей, а также персонала, сопровождающего информационные системы и осуществляющего программное обеспечение и услуги
Связи и замены
Заменяющий:
-
Взамен:
ГОСТ Р 55062-2012
Описание стандарта
ГОСТ Р 55062-2021 Информационные технологии. Интероперабельность. Основные положения
Страницы стандарта











