ГОСТ Р 59759-2021 Данные дистанционного зондирования Земли из космоса. Радиометрическая коррекция данных дистанционного зондирования Земли из космоса, получаемых с космических аппаратов оптико-электронного наблюдения в видимом и ближнем инфракрасном диапазоне. Требования к алгоритмам
ГОСТ Р
Скачать ГОСТ в PDF или DOC бесплатно
Основная информация
Обозначение:
ГОСТ Р 59759-2021
Статус:
Действует
Тип:
ГОСТ Р
Название русское:
Данные дистанционного зондирования Земли из космоса. Радиометрическая коррекция данных дистанционного зондирования Земли из космоса, получаемых с космических аппаратов оптико-электронного наблюдения в видимом и ближнем инфракрасном диапазоне. Требования к алгоритмам
Название английское:
Remote sensing data of the Earth from space. Radiometric correction for remote sensing data of the Earth from space obtained from optical-electronic observation satellites in the visible and near infrared range. Requirements for algorithms
Даты и сроки
Дата издания:
12-16-21
Дата введения в действие:
05-01-22
Применение и описание
Область и условия применения:
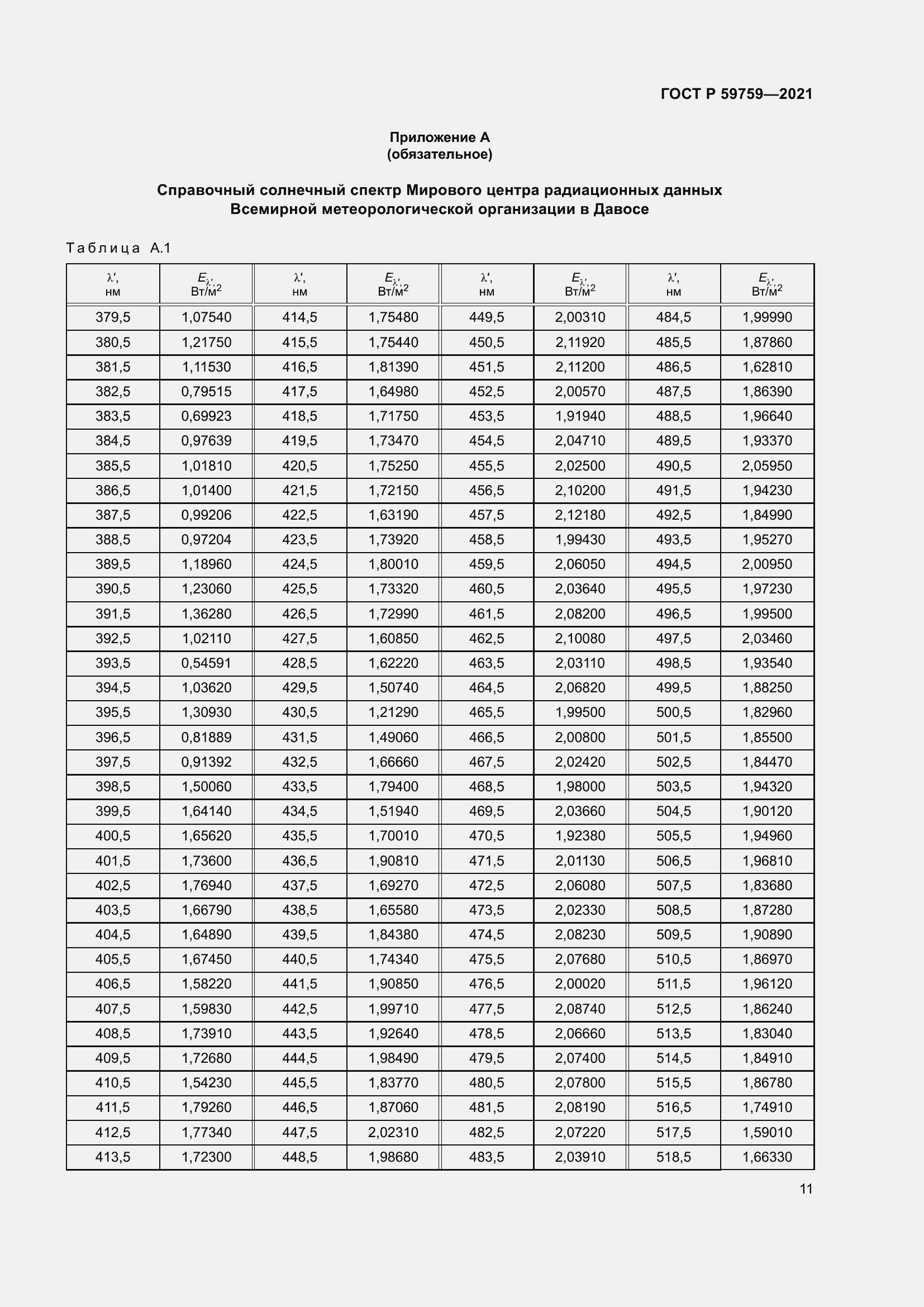
Настоящий стандарт устанавливает требования к алгоритмам радиометрической коррекции, применяемым в программном обеспечении автоматической обработки данных дистанционного зондирования Земли из космоса, получаемых в виде изображений с космических аппаратов оптико-электронного наблюдения в каналах прозрачности атмосферы видимого и ближнего инфракрасного диапазонов. Разделы 7 и 8 не распространяются на требования к алгоритмам атмосферной коррекции и коррекции анизотропии земной поверхности данных дистанционного зондирования Земли из космоса, полученных над акваториями морей и океанов. Настоящий стандарт распространяется на программное обеспечение стандартной обработки данных дистанционного зондирования Земли из космоса и предназначен для использования организациями-разработчиками при проектировании целевой аппаратуры космических комплексов (систем) и создании программных средств наземной инфраструктуры приема, обработки, хранения и распространения данных дистанционного зондирования Земли из космоса
Описание стандарта
ГОСТ Р 59759-2021 Данные дистанционного зондирования Земли из космоса. Радиометрическая коррекция данных дистанционного зондирования Земли из космоса, получаемых с космических аппаратов оптико-электронного наблюдения в видимом и ближнем инфракрасном диапазоне. Требования к алгоритмам
Страницы стандарта























