ГОСТ Р 59831-2021 Дистанционное зондирование Земли из космоса. Данные дистанционного зондирования Земли из космоса. Перечень потребительских характеристик данных, получаемых с космических аппаратов радиолокационного наблюдения
ГОСТ Р
Скачать ГОСТ в PDF или DOC бесплатно
Основная информация
Обозначение:
ГОСТ Р 59831-2021
Статус:
Действует
Тип:
ГОСТ Р
Название русское:
Дистанционное зондирование Земли из космоса. Данные дистанционного зондирования Земли из космоса. Перечень потребительских характеристик данных, получаемых с космических аппаратов радиолокационного наблюдения
Название английское:
Remote sensing of the Earth from space. Data of remote sensing of the Earth from space. List of consumer characteristics of data from radar satellites
Даты и сроки
Дата издания:
12-30-21
Дата введения в действие:
05-01-22
Применение и описание
Область и условия применения:
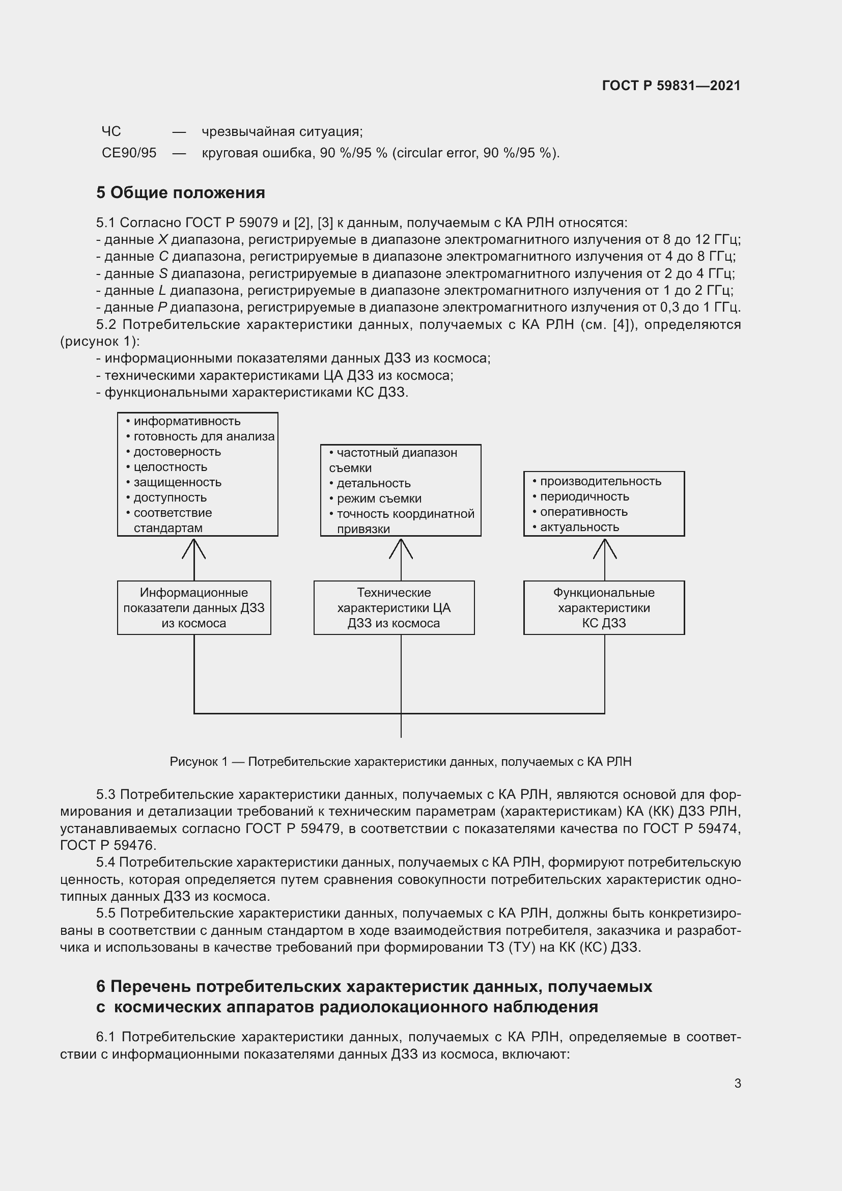
Настоящий стандарт предназначен для применения организациями при формировании тактико-технических заданий на космические системы дистанционного зондирования Земли из космоса и их проектировании, а также при создании, распространении и использовании данных дистанционного зондирования Земли из космоса и продуктов их обработки. Настоящий стандарт устанавливает перечень потребительских характеристик данных дистанционного зондирования Земли, получаемых с космических аппаратов радиолокационного наблюдения, значения которых определяют конечные потребители данных и продуктов дистанционного зондирования Земли из космоса и учитывают при разработке и создании космических систем в целях повышения эффективности применения данных дистанционного зондирования Земли из космоса
Описание стандарта
ГОСТ Р 59831-2021 Дистанционное зондирование Земли из космоса. Данные дистанционного зондирования Земли из космоса. Перечень потребительских характеристик данных, получаемых с космических аппаратов радиолокационного наблюдения
Страницы стандарта











