ГОСТ Р 59876-2021 Информационные технологии в обучении, образовании и подготовке. Информационная модель компетенций. Часть 2. Информационная модель уровня квалификации
ГОСТ Р
Скачать ГОСТ в PDF или DOC бесплатно
Основная информация
Обозначение:
ГОСТ Р 59876-2021
Статус:
Действует
Тип:
ГОСТ Р
Название русское:
Информационные технологии в обучении, образовании и подготовке. Информационная модель компетенций. Часть 2. Информационная модель уровня квалификации
Название английское:
Information technology for learning, education and training. Information model for competency. Part 2. Proficiency level information model
Даты и сроки
Дата издания:
01-10-22
Дата введения в действие:
02-01-22
Дата завершения срока действия:
-
Применение и описание
Область и условия применения:
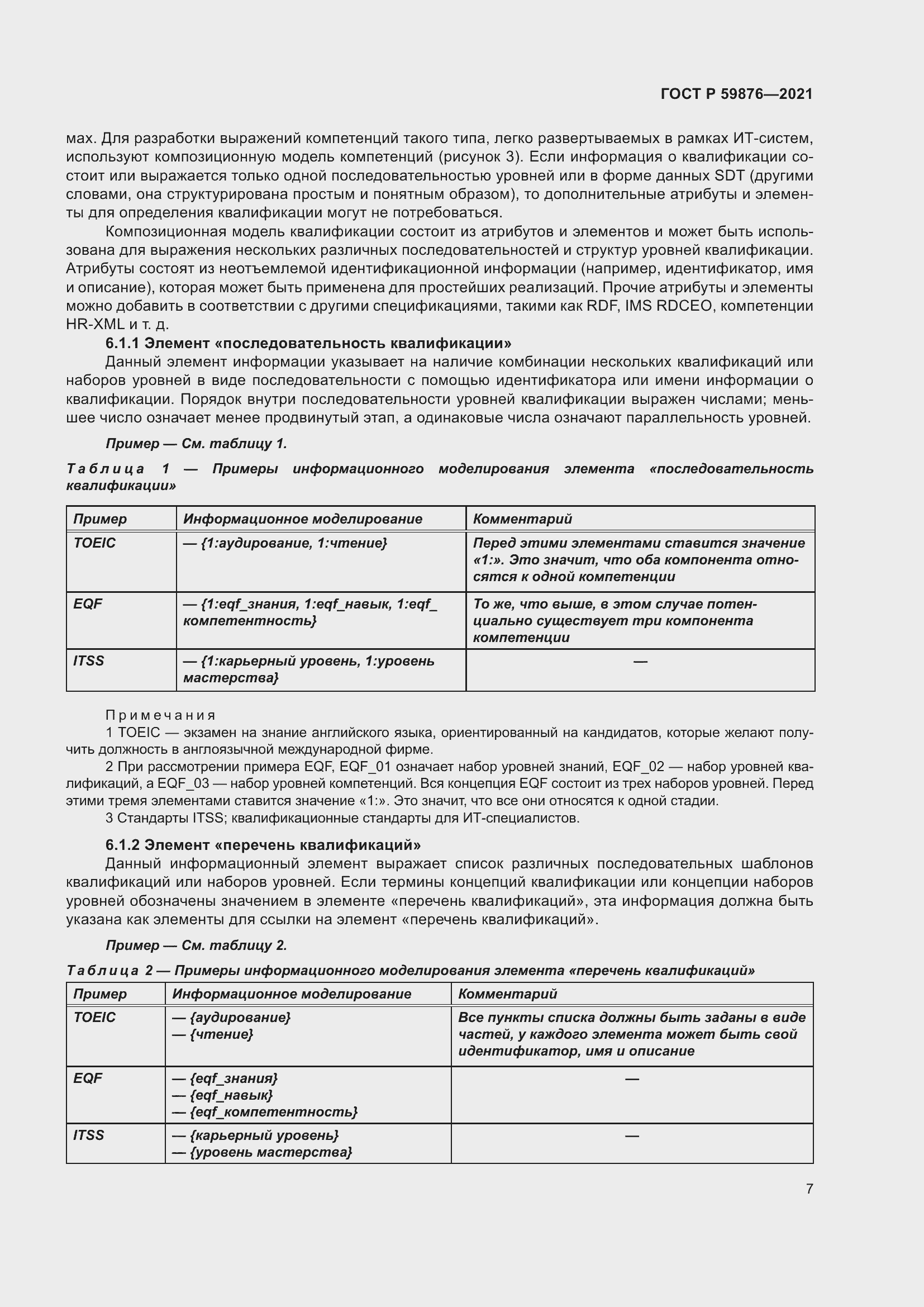
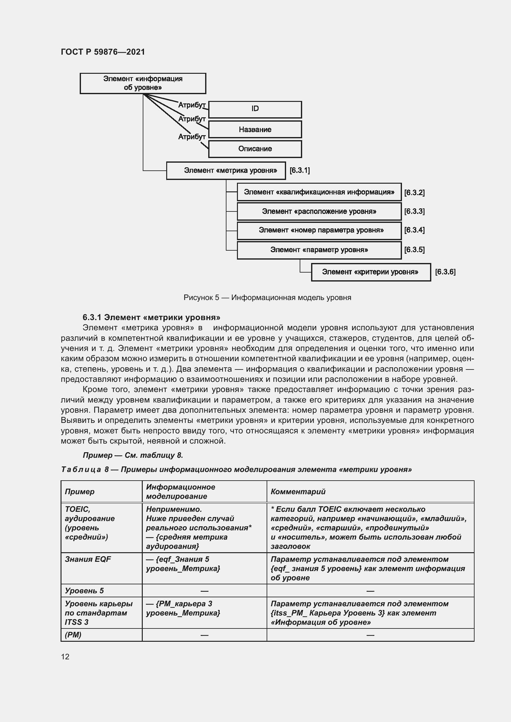
В настоящем стандарте представлена информационная модель для определения компетентной квалификации и ее уровня. В стандарте представлены несколько вариантов использования, которые будут полезны разработчикам программного обеспечения, специалистам по внедрению и архитекторам систем управления персоналом и систем обучения. Эти варианты использования призваны способствовать управлению и обмену информацией о компетенциях в системах информационных технологий (ИТ), применяемых для обучения, образования и профессиональной подготовки. В настоящем стандарте представлена информационная модель, используемая для выражения семантики компетентной квалификации и ее уровня, а также применимая для поддержки управления и обмена информацией о компетенции между системами ИТ в сфере обучения, образования и профессиональной подготовки
Связи и замены
Заменяющий:
-
Описание стандарта
ГОСТ Р 59876-2021 Информационные технологии в обучении, образовании и подготовке. Информационная модель компетенций. Часть 2. Информационная модель уровня квалификации
Страницы стандарта























