ГОСТ Р 70395-2022 Информатизация здоровья. Формат биосигналов. Часть 2. Электрокардиография
ГОСТ Р
Скачать ГОСТ в PDF или DOC бесплатно
Основная информация
Обозначение:
ГОСТ Р 70395-2022
Статус:
Действует
Тип:
ГОСТ Р
Название русское:
Информатизация здоровья. Формат биосигналов. Часть 2. Электрокардиография
Название английское:
Health informatics. Medical waveform format. Part 2. Electrocardiography
Даты и сроки
Дата издания:
10-31-22
Дата введения в действие:
03-01-23
Дата завершения срока действия:
-
Применение и описание
Область и условия применения:
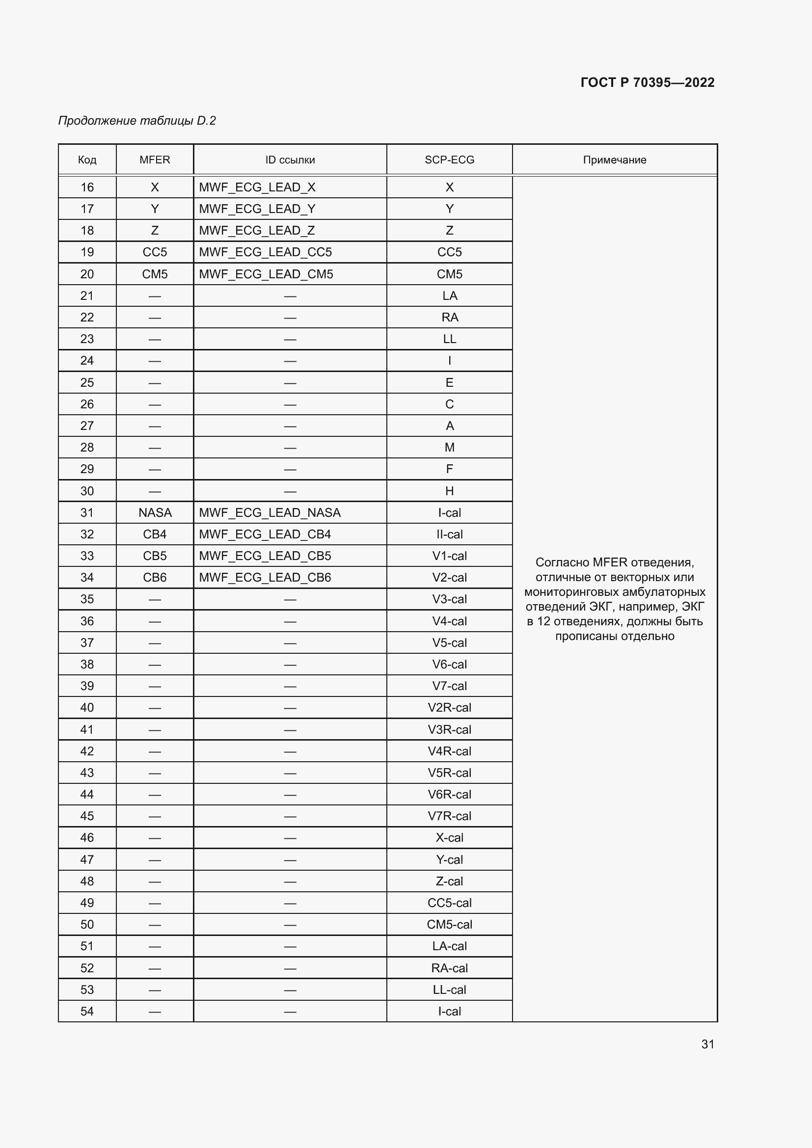
Настоящий стандарт определяет применение правил кодирования формата биосигналов (MFER) для описания стандартных форм биосигналов электрокардиограммы, измеренных в физиологических лабораториях, больничных палатах, клиниках и при медицинских осмотрах первичного звена. Он охватывает электрокардиограммы, такие как в 12 отведениях, 15 отведениях, 18 отведениях, отведение Кабрера, отведение Nehb, отведение Франка, отведение XYZ, а также тесты с физической нагрузкой, которые измеряются контрольным оборудованием, таким как электрокардиографы и мониторы пациента, совместимые с MFER
Связи и замены
Заменяющий:
-
Описание стандарта
ГОСТ Р 70395-2022 Информатизация здоровья. Формат биосигналов. Часть 2. Электрокардиография
Страницы стандарта









































