ГОСТ 6431-75 Машины пишущие. Расположение клавиш и символов на клавиатуре
ГОСТ
Скачать ГОСТ в PDF или DOC бесплатно
Основная информация
Обозначение:
ГОСТ 6431-75
Статус:
Действует
Тип:
ГОСТ
Название русское:
Машины пишущие. Расположение клавиш и символов на клавиатуре
Название английское:
Typewriters. Arrangement of keys and symbols on keyboard
Даты и сроки
Дата издания:
10-01-98
Дата введения в действие:
06-30-76
Дата завершения срока действия:
-
Применение и описание
Область и условия применения:
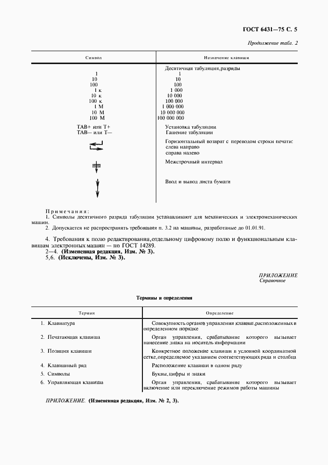
Настоящий стандарт распространяется на клавиатуры пишущих машин.Стандарт устанавливает расположение основных групп клавиш, шифр и специальных графических символов на этих клавишах, а также расположение на клавиатуре букв русского и латинского алфавитов
Связи и замены
Заменяющий:
-
Взамен:
ГОСТ 6431-52
Изменения и переиздания
Список изменений:
№0 от (рег. ) «Срок действия продлен» №1 от (рег. ) «Срок действия продлен» №2 от (рег. ) «Срок действия продлен» №3 от (рег. ) «Срок действия продлен»
Описание стандарта
ГОСТ 6431-75 Машины пишущие. Расположение клавиш и символов на клавиатуре
Страницы стандарта






