ГОСТ Р 53192-2014 Соединения сварные в стальных конструкциях железнодорожного подвижного состава. Требования к проектированию, выполнению и контролю качества
ГОСТ Р
Скачать ГОСТ в PDF или DOC бесплатно
Основная информация
Обозначение:
ГОСТ Р 53192-2014
Статус:
Отменен
Тип:
ГОСТ Р
Название русское:
Соединения сварные в стальных конструкциях железнодорожного подвижного состава. Требования к проектированию, выполнению и контролю качества
Название английское:
Welded joints in steel structures of railway rolling stock. Requirements for design, production and quality control
Даты и сроки
Дата издания:
07-23-15
Дата введения в действие:
05-01-15
Дата завершения срока действия:
07-01-17
Применение и описание
Область и условия применения:
Настоящий стандарт распространяется на проектирование, выполнение и контроль качества сварных соединений и сварных узлов в стальных конструкциях железнодорожного подвижного состава климатических исполнений по ГОСТ 15150
Связи и замены
Заменяющий:
-
Взамен:
ГОСТ Р 53192-2008
Изменения и переиздания
Список изменений:
№0 от (рег. ) «Текстовое изменение; Изменено заглавие»
Описание стандарта
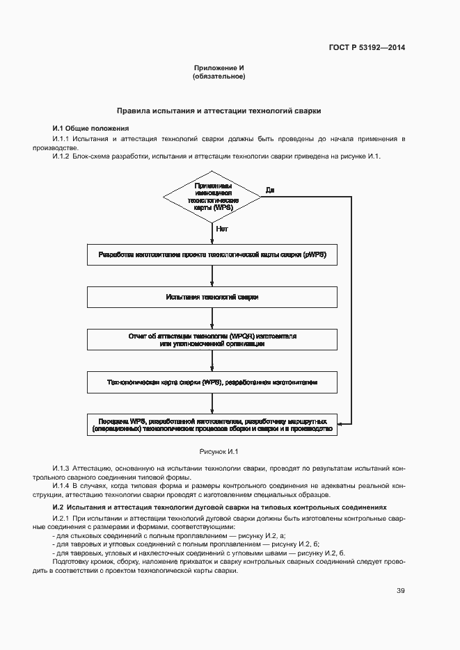
ГОСТ Р 53192-2014 Соединения сварные в стальных конструкциях железнодорожного подвижного состава. Требования к проектированию, выполнению и контролю качества
Страницы стандарта

















































