ГОСТ 33597-2015 Тормозные системы железнодорожного подвижного состава. Методы испытаний
ГОСТ
Скачать ГОСТ в PDF или DOC бесплатно
Основная информация
Обозначение:
ГОСТ 33597-2015
Статус:
Действует
Тип:
ГОСТ
Название русское:
Тормозные системы железнодорожного подвижного состава. Методы испытаний
Название английское:
Braking systems of railway rolling stock. Inspection procedures
Даты и сроки
Дата регистрации:
10-27-15
Дата издания:
09-24-19
Дата введения в действие:
09-01-16
Дата завершения срока действия:
-
Применение и описание
Область и условия применения:
Настоящий стандарт устанавливает методы контроля тормозных систем локомотивов, моторвагонного подвижного состава, пассажирских и грузовых вагонов локомотивной тяги, а также другого подвижного состава, предназначенного для осуществления перевозок и функционирования инфраструктуры железнодорожного транспорта (далее-железнодорожный подвижной состав)
Связи и замены
Заменяющий:
-
Описание стандарта
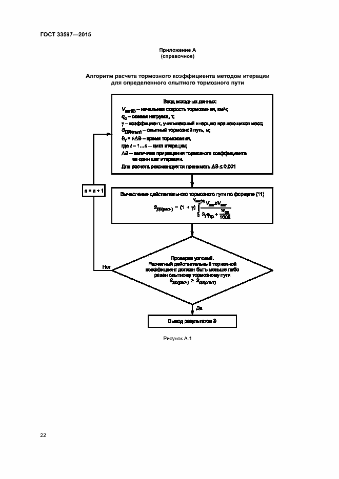
ГОСТ 33597-2015 Тормозные системы железнодорожного подвижного состава. Методы испытаний
Страницы стандарта



























Приложение №1: Поправка к ГОСТ 33597-2015 Обозначение: Поправка к ГОСТ 33597-2015 Дата введения в действие: 18.02.2019
