ГОСТ Р 54434-2011 Оборудование железнодорожного подвижного состава. Испытания на удар и вибрацию
ГОСТ Р
Скачать ГОСТ в PDF или DOC бесплатно
Основная информация
Обозначение:
ГОСТ Р 54434-2011
Статус:
Отменен
Тип:
ГОСТ Р
Название русское:
Оборудование железнодорожного подвижного состава. Испытания на удар и вибрацию
Название английское:
Railway application. Rolling stock equipment. Shock and vibration
Даты и сроки
Дата издания:
02-20-12
Дата введения в действие:
03-01-12
Дата завершения срока действия:
03-01-17
Применение и описание
Область и условия применения:
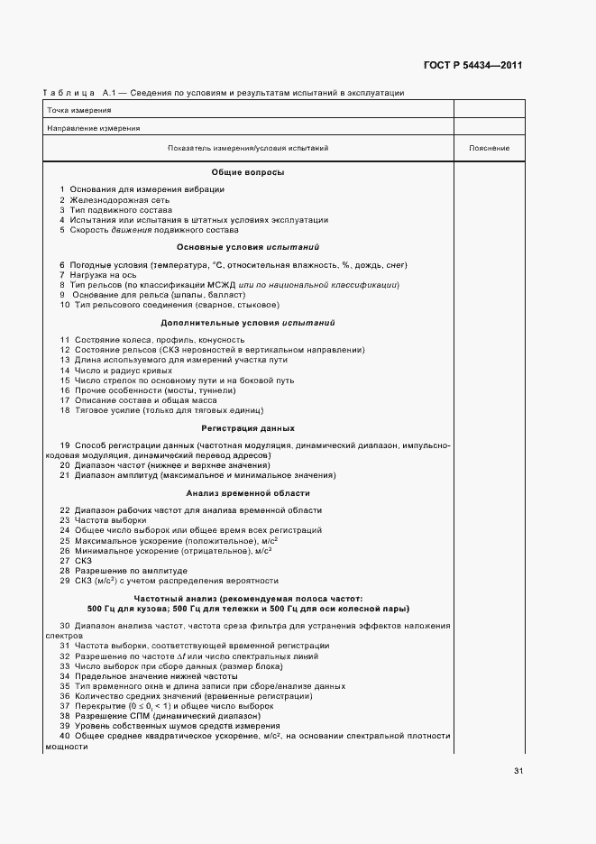
Настоящий стандарт распространяется на оборудование всех видов, в том числе механическое, пневматическое, электрическое и электронное, применяемое на железнодорожном подвижном составе. Стандарт устанавливает методы испытаний на воздействие вибрации и удара (испытания на стойкость (устойчивость и/или прочность) к механическим внешним воздействующим факторам). Стандарт устанавливает методы испытаний на соответствие требованиям, установленным ГОСТ 17516.1 (таблица 1, группы механического исполнения М25, М26, М27), ГОСТ 30631 (приложение Б, таблица Б.1, группы механического исполнения М25, М26, М27), ГОСТ 2582 (подпункт 2.2.1). Виды испытаний на воздействие вибрации и удара (испытаний на стойкость (устойчивость и/или прочность) к механическим внешним воздействующим факторам) – по ГОСТ 16504
Связи и замены
Заменяющий:
-
Изменения и переиздания
Список изменений:
№0 от (рег. ) «Текстовое изменение; Изменено заглавие»
Описание стандарта
ГОСТ Р 54434-2011 Оборудование железнодорожного подвижного состава. Испытания на удар и вибрацию
Страницы стандарта













































