ГОСТ 34772-2021 Транспортеры железнодорожные. Требования к прочности и динамическим качествам
ГОСТ
Скачать ГОСТ в PDF или DOC бесплатно
Основная информация
Обозначение:
ГОСТ 34772-2021
Статус:
Действует
Тип:
ГОСТ
Название русское:
Транспортеры железнодорожные. Требования к прочности и динамическим качествам
Название английское:
Transporter cars. Requirements to structural straight and dynamic qualities
Даты и сроки
Дата регистрации:
08-26-21
Дата издания:
11-08-21
Дата введения в действие:
02-01-22
Дата завершения срока действия:
-
Применение и описание
Область и условия применения:
Настоящий стандарт распространяется на вагоны-транспортеры (далее – вагоны), предназначенные для перевозки крупногабаритных и тяжеловесных грузов по путям общего и необщего пользования железных дорог колеи 1520 мм. Настоящий стандарт устанавливает требования к прочности и динамическим качествам при выполнении расчетов и оценке результатов испытаний по ГОСТ 33788 для несущей конструкции кузова вагона, грузов, установленных на вагоне и выполняющих функции несущих элементов, крепления подвесного оборудования вагона, несущей конструкции и крепления подвесного оборудования тележек, составных частей тормозной рычажной передачи, а также требования к автоматическому сцеплению вагонов и проходу сцепленными вагонами кривых участков пути
Приложение №1:
Поправка к ГОСТ 34772-2021 Обозначение: Поправка к ГОСТ 34772-2021 Дата введения в действие: 09.02.2022
Связи и замены
Заменяющий:
-
Описание стандарта
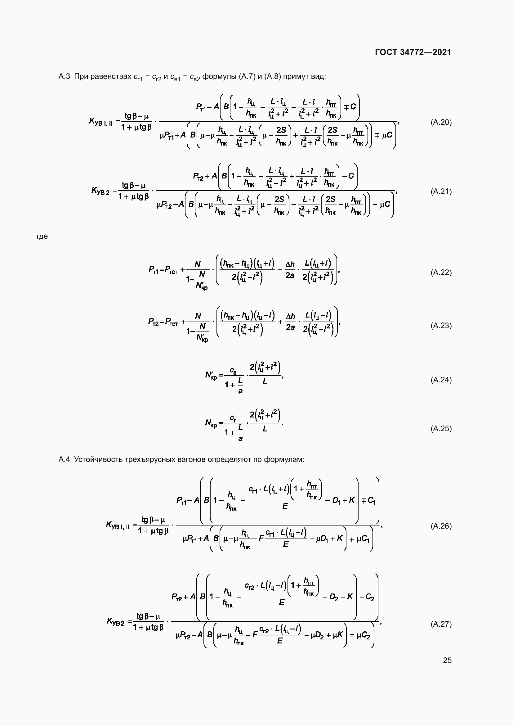
ГОСТ 34772-2021 Транспортеры железнодорожные. Требования к прочности и динамическим качествам
Страницы стандарта


































Приложение №1: Поправка к ГОСТ 34772-2021 Обозначение: Поправка к ГОСТ 34772-2021 Дата введения в действие: 09.02.2022

Приложение №2: Поправка к ГОСТ 34772-2021 Обозначение: Поправка к ГОСТ 34772-2021 Дата введения в действие: 05.08.2022

Приложение №3: Поправка к ГОСТ 34772-2021 Обозначение: Поправка к ГОСТ 34772-2021 Дата введения в действие: 20.09.2022
