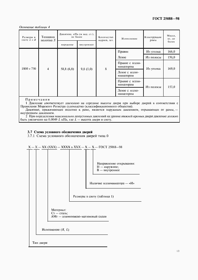
ГОСТ 25088-98 Двери судовые. Технические условия
ГОСТ
Скачать ГОСТ в PDF или DOC бесплатно
Основная информация
Обозначение:
ГОСТ 25088-98
Статус:
Действует
Тип:
ГОСТ
Название русское:
Двери судовые. Технические условия
Название английское:
Ship`s doors. Specifications
Даты и сроки
Дата регистрации:
11-12-98
Дата издания:
01-16-02
Дата введения в действие:
01-01-02
Дата завершения срока действия:
-
Применение и описание
Область и условия применения:
Настоящий стандарт распространяется на судовые плоские штампованные водогазонепроницаемые и проницаемые металлические двери, применяемые на кораблях, судах и плавсредствах. Стандарт не распространяется на двери, применяемые на кораблях и судах с динамическими принципами поддержания
Связи и замены
Заменяющий:
-
Взамен:
ГОСТ 25088-81
Описание стандарта
ГОСТ 25088-98 Двери судовые. Технические условия
Страницы стандарта


























