ГОСТ Р 70245-2022 Внутренний водный транспорт. Объекты инфраструктуры. Эксплуатация набережных, подпорных стен полугравитационных и гравитационных. Контроль технического состояния различных полугравитационных конструкций. Основные требования
ГОСТ Р
Скачать ГОСТ в PDF или DOC бесплатно
Основная информация
Обозначение:
ГОСТ Р 70245-2022
Статус:
Действует
Тип:
ГОСТ Р
Название русское:
Внутренний водный транспорт. Объекты инфраструктуры. Эксплуатация набережных, подпорных стен полугравитационных и гравитационных. Контроль технического состояния различных полугравитационных конструкций. Основные требования
Название английское:
Inland water transport. Infrastructure objects. Operation of embankments, retaining semi-gravity and gravity walls. Monitoring the technical condition of various semi-gravitational structures. Basic requirements
Даты и сроки
Дата издания:
08-10-22
Дата введения в действие:
01-01-23
Дата завершения срока действия:
-
Применение и описание
Область и условия применения:
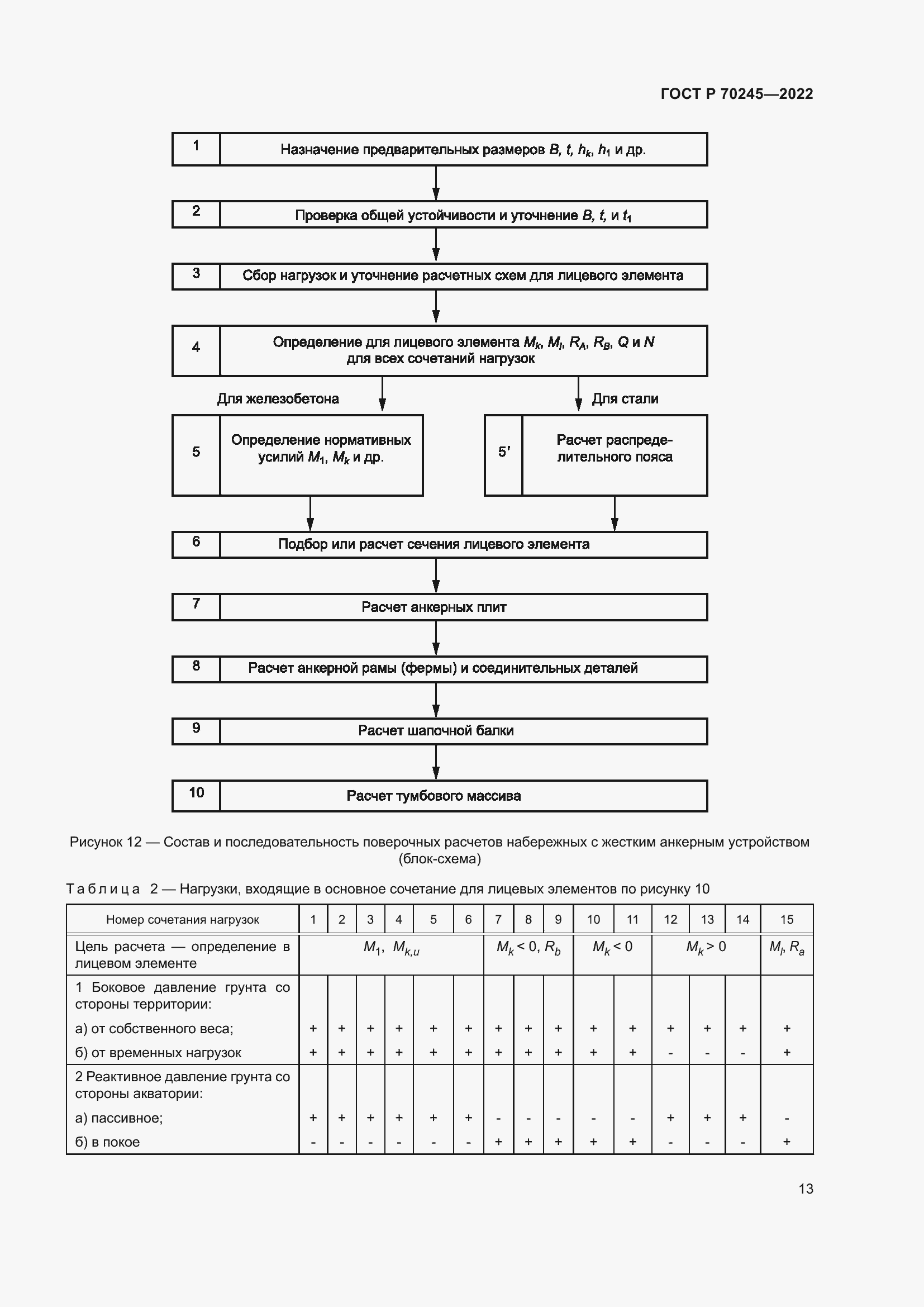
Настоящий стандарт устанавливает основные требования к различным полугравитационным конструкциям объектов инфраструктуры внутреннего водного транспорта, учитываемые при контроле (определении вида по ГОСТ 20911) их технического состояния в процессе эксплуатации
Связи и замены
Заменяющий:
-
Описание стандарта
ГОСТ Р 70245-2022 Внутренний водный транспорт. Объекты инфраструктуры. Эксплуатация набережных, подпорных стен полугравитационных и гравитационных. Контроль технического состояния различных полугравитационных конструкций. Основные требования
Страницы стандарта



























