ГОСТ 17228-87 Самолеты пассажирские и транспортные. Допустимые уровни шума, создаваемого на местности
ГОСТ
Скачать ГОСТ в PDF или DOC бесплатно
Основная информация
Обозначение:
ГОСТ 17228-87
Статус:
Действует
Тип:
ГОСТ
Название русское:
Самолеты пассажирские и транспортные. Допустимые уровни шума, создаваемого на местности
Название английское:
Passanger and transport acroplanes. Acceptable noise levels on ground
Даты и сроки
Дата издания:
11-06-87
Дата введения в действие:
06-30-88
Дата завершения срока действия:
-
Применение и описание
Область и условия применения:
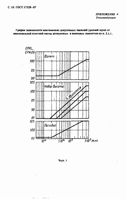
Настоящий стандарт устанавливает максимально допустимые уровни шума, создаваемого дозвуковыми пассажирскими и транспортными самолетами с турбореактивными или турбореактивными двухконтурными двигателями всех массовых категорий, с длиной взлетно-посадочной полосы более 610 м, а также самолетами с поршневыми, турбовинтовыми и турбовинтовентиляторными двигателями со взлетной массой более 9000 кг, на местности в контрольных точках при исходных условиях, установленных ГОСТ 17229-85. Стандарт не устанавливает допустимые уровни шума в качестве норм шума для ограничения жилой застройки в окрестностях аэропортов и аэродромов
Связи и замены
Заменяющий:
ГОСТ 17228-2014
Взамен:
ГОСТ 17228-78
Изменения и переиздания
Список изменений:
№0 от (рег. ) «Восстановлен на территории РФ»
Описание стандарта
ГОСТ 17228-87 Самолеты пассажирские и транспортные. Допустимые уровни шума, создаваемого на местности
Страницы стандарта


















