ГОСТ Р 59311-2021 Ракетно-космическая техника. Заглушки транспортировочные. Общие технические условия
ГОСТ Р
Скачать ГОСТ в PDF или DOC бесплатно
Основная информация
Обозначение:
ГОСТ Р 59311-2021
Статус:
Действует
Тип:
ГОСТ Р
Название русское:
Ракетно-космическая техника. Заглушки транспортировочные. Общие технические условия
Название английское:
Space-rocket technik. Transportation plugs. General specifications
Даты и сроки
Дата издания:
02-15-21
Дата введения в действие:
06-01-21
Дата завершения срока действия:
-
Применение и описание
Область и условия применения:
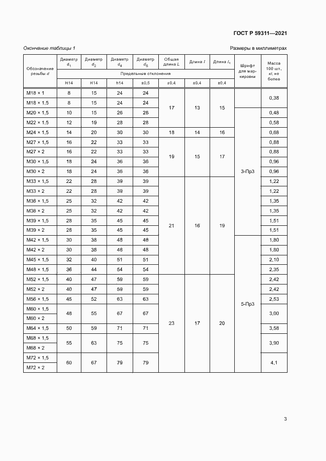
Настоящий стандарт устанавливает общие технические условия и распространяется на транспортировочные заглушки (пробки и крышки), предназначенные для предохранения трубопроводов, штуцеров и наконечников агрегатов ракетно-космической техники от засорения и механических повреждений при транспортировании, хранении, регламентных и других работах
Связи и замены
Заменяющий:
-
Описание стандарта
ГОСТ Р 59311-2021 Ракетно-космическая техника. Заглушки транспортировочные. Общие технические условия
Страницы стандарта



















