ГОСТ Р 59818-2021 Самолеты и вертолеты. Контроль массы деталей, сборочных единиц и покупных изделий в серийном производстве. Общие технические требования
ГОСТ Р
Скачать ГОСТ в PDF или DOC бесплатно
Основная информация
Обозначение:
ГОСТ Р 59818-2021
Статус:
Действует
Тип:
ГОСТ Р
Название русское:
Самолеты и вертолеты. Контроль массы деталей, сборочных единиц и покупных изделий в серийном производстве. Общие технические требования
Название английское:
Airplanes and helicopters. Weight control of parts, assembly units and bought out items in production. General reguirements
Даты и сроки
Дата издания:
12-17-21
Дата введения в действие:
06-01-22
Дата завершения срока действия:
-
Применение и описание
Область и условия применения:
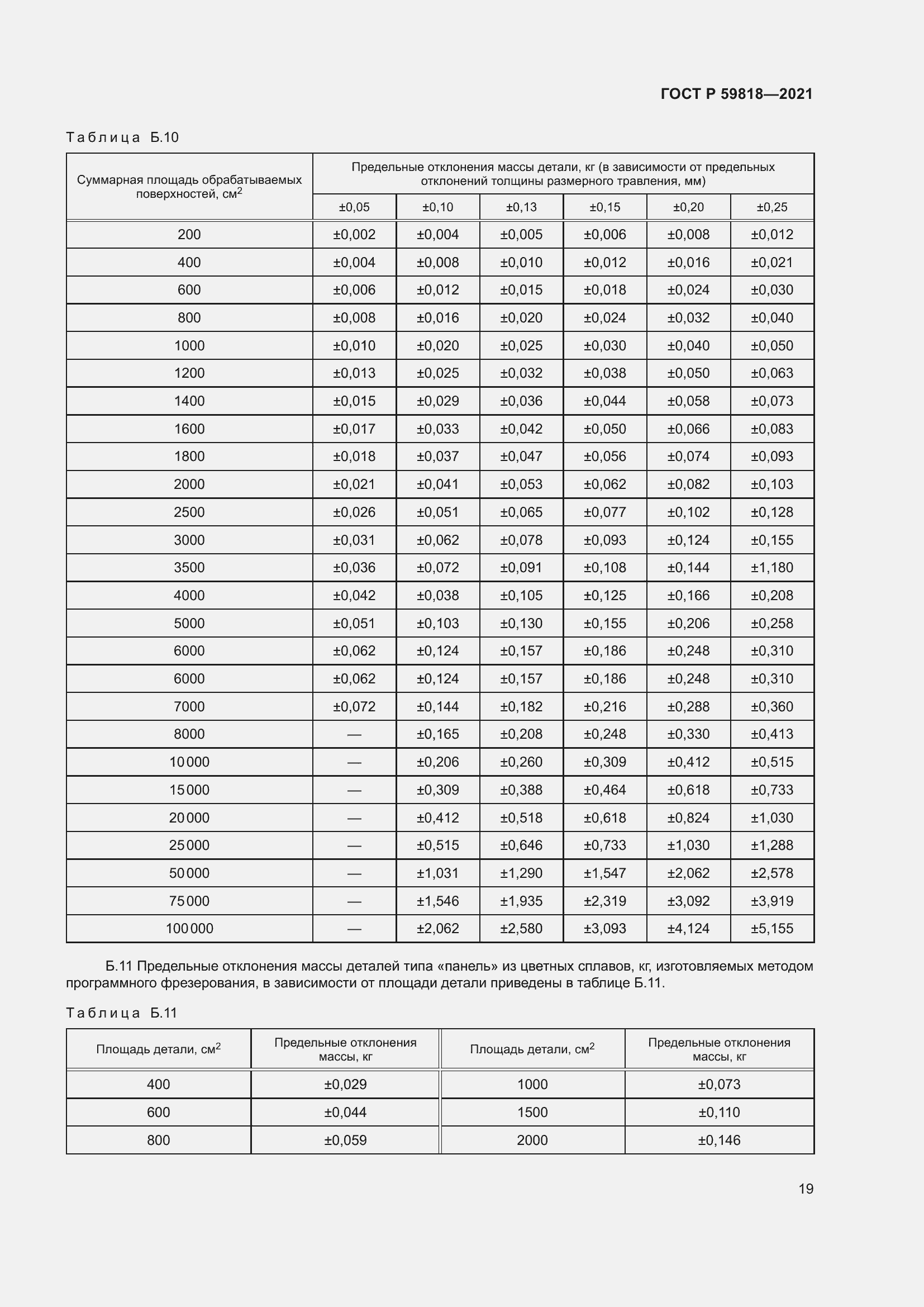
Настоящий стандарт устанавливает общие технические требования к объемам и порядку проведения контроля массы деталей, сборочных единиц, покупных изделий и изделий, изготавливаемых по кооперации и доукомплектовываемых по кооперации, в опытном и серийном производстве самолетов, вертолетов, а также значения ее предельных отклонений. При наличии экономической целесообразности требования настоящего стандарта могут распространяться только на беспилотные воздушные суда (БВС). Требования настоящего стандарта распространяются на организации и предприятия (далее – предприятия), осуществляющие разработку и серийное изготовление самолетов, вертолетов и БВС, а также на предприятия – поставщики, осуществляющие для данных предприятий изготовление комплектующих изделий
Связи и замены
Заменяющий:
-
Описание стандарта
ГОСТ Р 59818-2021 Самолеты и вертолеты. Контроль массы деталей, сборочных единиц и покупных изделий в серийном производстве. Общие технические требования
Страницы стандарта



























