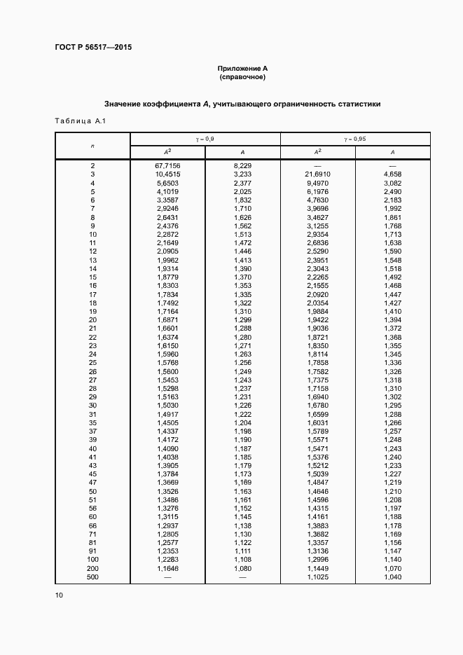
ГОСТ Р 56517-2015 Двигатели ракетные жидкостные. Правила контроля качества изготовления по предельно допустимым значениям выходных параметров с учетом погрешностей измерений
ГОСТ Р
Скачать ГОСТ в PDF или DOC бесплатно
Основная информация
Обозначение:
ГОСТ Р 56517-2015
Статус:
Действует
Тип:
ГОСТ Р
Название русское:
Двигатели ракетные жидкостные. Правила контроля качества изготовления по предельно допустимым значениям выходных параметров с учетом погрешностей измерений
Название английское:
Liquid rocket engines. Production quality control rules according to maximum permissible value of output parameters, considering measurement error
Даты и сроки
Дата издания:
11-29-19
Дата введения в действие:
01-01-16
Дата завершения срока действия:
-
Применение и описание
Область и условия применения:
Настоящий стандарт распространяется на жидкостные ракетные двигатели однократного использования и устанавливает правила контроля качества изготовления при поставках в эксплуатацию по предельно допустимым значениям выходных параметров, назначаемым с учетом погрешностей измерений
Связи и замены
Заменяющий:
-
Описание стандарта
ГОСТ Р 56517-2015 Двигатели ракетные жидкостные. Правила контроля качества изготовления по предельно допустимым значениям выходных параметров с учетом погрешностей измерений
Страницы стандарта





















