ГОСТ 22045-89 Краны мостовые электрические однобалочные опорные. Технические условия
ГОСТ
Скачать ГОСТ в PDF или DOC бесплатно
Основная информация
Обозначение:
ГОСТ 22045-89
Статус:
Заменен
Тип:
ГОСТ
Название русское:
Краны мостовые электрические однобалочные опорные. Технические условия
Название английское:
Overhead travelling single-beam cranes. Specifications
Даты и сроки
Дата издания:
11-01-08
Дата введения в действие:
01-01-91
Дата завершения срока действия:
06-01-20
Применение и описание
Область и условия применения:
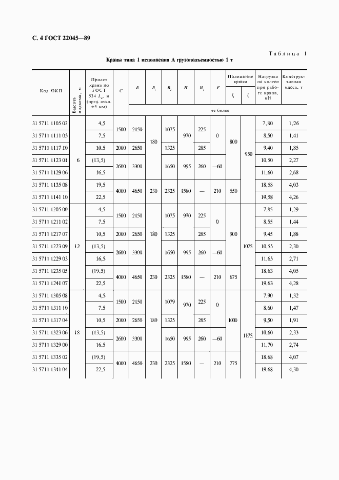
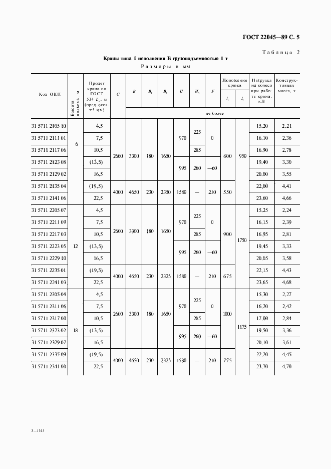
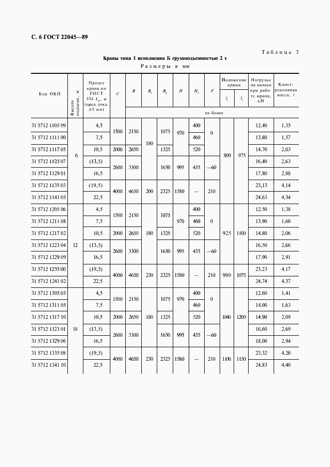
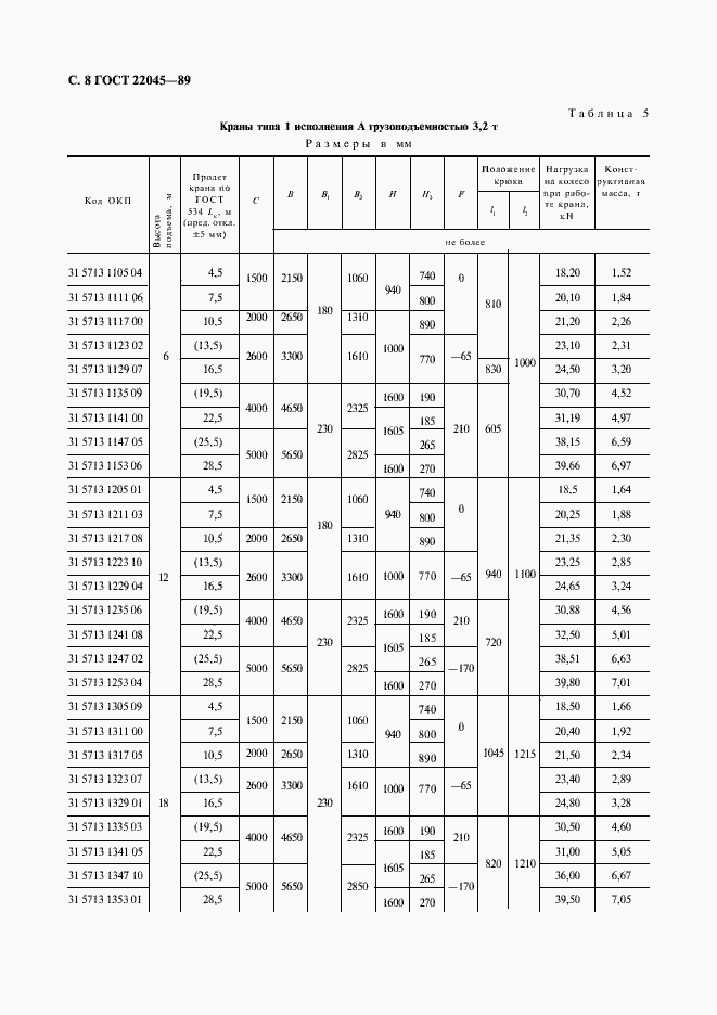
Настоящий стандарт распространяется на мостовые электрические однобалочные опорные краны, группы режима работы 3К по ГОСТ 25546 с электрической талью и электрическим механизмом передвижения, грузоподъемностью от 1 до 5 т, работающие на трехфазном токе напряжением 220, 240, 380, 400, 415 В частотой 50 Гц и напряжением 220, 380, 400, 440 В частотой 60 Гц, изготавливаемые в климатическом исполнении У и Т, категории размещения 1, 2 и 3 по ГОСТ 15150, для работы при температуре от плюс 40 до минус 40 грал. С. Стандарт не распространяется на краны, предназначенные для работы во взрывоопасной и пожароопасной средах, в помещениях с парами кислот и щелочей, концентрации которых вызывают разрушение электрической изоляции, для транспортирования грузов, нагретых свыше 300 град. С и расплавленного металла, шлака, ядовитых и взрывчатых веществ и других опасных грузов
Связи и замены
Заменяющий:
ГОСТ 34589-2019
Взамен:
ГОСТ 22045-82
Изменения и переиздания
Список изменений:
№1 от (рег. ) «Срок действия продлен» №2 от (рег. ) «Срок действия продлен»
Описание стандарта
ГОСТ 22045-89 Краны мостовые электрические однобалочные опорные. Технические условия
Страницы стандарта


























