ГОСТ 11112-70 Колеса с массивными резиновыми шинами безрельсового транспорта. Типы. Основные параметры и размеры
ГОСТ
Скачать ГОСТ в PDF или DOC бесплатно
Основная информация
Обозначение:
ГОСТ 11112-70
Статус:
Действует
Тип:
ГОСТ
Название русское:
Колеса с массивными резиновыми шинами безрельсового транспорта. Типы. Основные параметры и размеры
Название английское:
Wheels with solid rubber tyres of railless transport. Types. Basic parameters and dimensions
Даты и сроки
Дата издания:
11-01-85
Дата введения в действие:
01-01-71
Дата завершения срока действия:
-
Применение и описание
Область и условия применения:
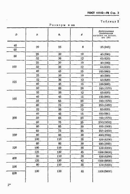
Настоящий стандарт распространяется на колеса с массивными резиновыми шинами безрельсового транспорта с допускаемой статической нагрузкой на колесо от 25 до 4000 кгс (от 250 до 39000 Н), предназначенные для передвижного оборудования. Стандарт не распространяется на поворотные и неповоротные колеса со стержнем и площадкой, предназначенные для медицинского оборудования
Связи и замены
Заменяющий:
-
Взамен:
ГОСТ 11112-64
Изменения и переиздания
Список изменений:
№1 от (рег. ) «Срок действия продлен» №2 от (рег. ) «Срок действия продлен»
Описание стандарта
ГОСТ 11112-70 Колеса с массивными резиновыми шинами безрельсового транспорта. Типы. Основные параметры и размеры
Страницы стандарта










