ГОСТ Р 52156-2003 Катки дорожные самоходные. Общие технические условия
ГОСТ Р
Скачать ГОСТ в PDF или DOC бесплатно
Основная информация
Обозначение:
ГОСТ Р 52156-2003
Статус:
Отменен
Тип:
ГОСТ Р
Название русское:
Катки дорожные самоходные. Общие технические условия
Название английское:
Self-propelled road rollers. General specifications
Даты и сроки
Дата издания:
02-03-04
Дата введения в действие:
01-01-05
Дата завершения срока действия:
01-01-14
Применение и описание
Область и условия применения:
Настоящий стандарт распространяется на дорожные самоходные катки, предназначенные для уплотнения дорожных оснований и дорожных покрытий
Связи и замены
Заменяющий:
-
Изменения и переиздания
Список изменений:
№0 от (рег. ) «Дата введения перенесена» №0 от (рег. ) «Текстовое изменение; Изменено заглавие»
Описание стандарта
ГОСТ Р 52156-2003 Катки дорожные самоходные. Общие технические условия
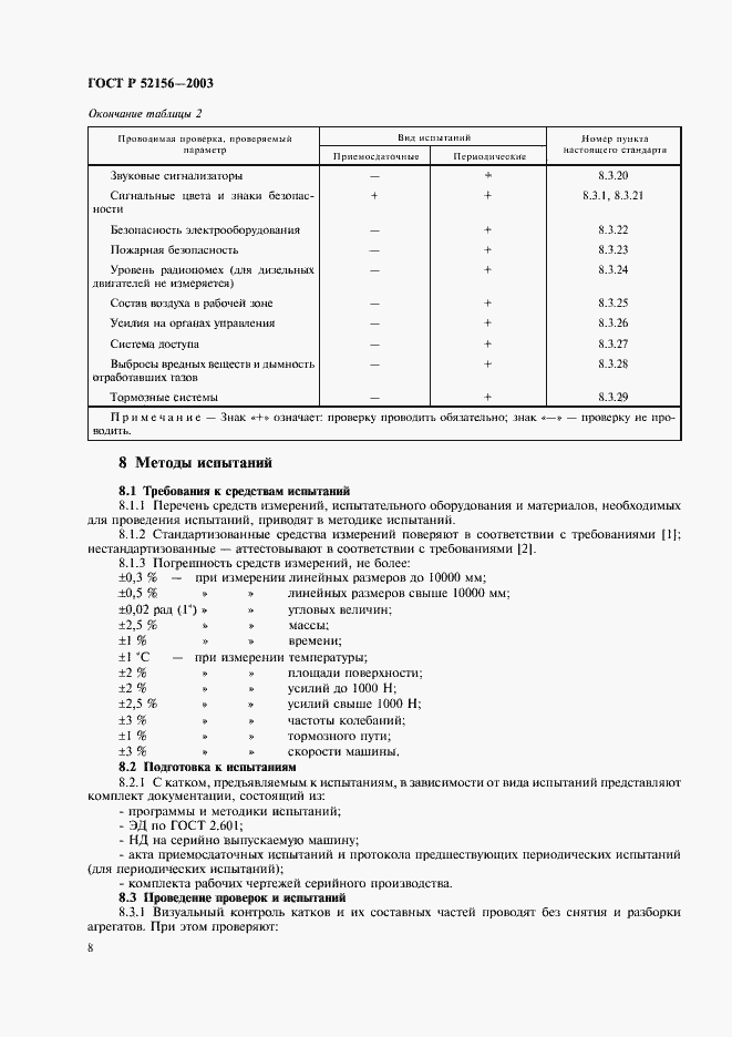
Страницы стандарта

















Приложение №2: Поправка к ГОСТ Р 52156-2003 Обозначение: Поправка к ГОСТ Р 52156-2003 Дата введения в действие: 14.09.2004

Приложение №3: Поправка к ГОСТ Р 52156-2003 Обозначение: Поправка к ГОСТ Р 52156-2003 Дата введения в действие: 13.09.2004
