ГОСТ Р 54142-2010 Менеджмент рисков. Руководство по применению организационных мер безопасности и оценки рисков. Методология построения универсального дерева событий
ГОСТ Р
Скачать ГОСТ в PDF или DOC бесплатно
Основная информация
Обозначение:
ГОСТ Р 54142-2010
Статус:
Действует
Тип:
ГОСТ Р
Название русское:
Менеджмент рисков. Руководство по применению организационных мер безопасности и оценки рисков. Методология построения универсального дерева событий
Название английское:
Risk management. Implementation guide for organizational security measures and risk assessment. Methodology for all-purpose event tree construction
Даты и сроки
Дата издания:
07-14-20
Дата введения в действие:
09-01-11
Дата завершения срока действия:
-
Применение и описание
Область и условия применения:
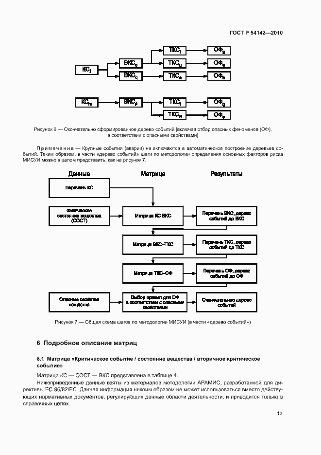
Настоящий стандарт устанавливает методологию построения универсального дерева событий для оценки рисков промышленных инцидентов с серьезными последствиями, предназначенную для характеристики уровня риска с интегрированным индексом риска, включающим независимые параметры, связанные с оценкой последующей серьезности развития сценариев, эффективностью превентивного менеджмента и оценкой подверженности (уязвимости) окружающей среды, описывая чувствительность потенциальных объектов, подпадающих под действие настоящего стандарта. Настоящий стандарт предназначен для использования на предприятиях, на которых вредные вещества присутствуют в количествах, способных нанести существенный вред здоровью людей или состоянию окружающей среды
Связи и замены
Заменяющий:
-
Описание стандарта
ГОСТ Р 54142-2010 Менеджмент рисков. Руководство по применению организационных мер безопасности и оценки рисков. Методология построения универсального дерева событий
Страницы стандарта






































