ГОСТ Р 54144-2010 Менеджмент рисков. Руководство по применению организационных мер безопасности и оценки рисков. Идентификация инцидентов
ГОСТ Р
Скачать ГОСТ в PDF или DOC бесплатно
Основная информация
Обозначение:
ГОСТ Р 54144-2010
Статус:
Действует
Тип:
ГОСТ Р
Название русское:
Менеджмент рисков. Руководство по применению организационных мер безопасности и оценки рисков. Идентификация инцидентов
Название английское:
Risk management. Implementation guide for organizational security measures and risk assessment. Incident identification
Даты и сроки
Дата издания:
07-31-20
Дата введения в действие:
09-01-11
Дата завершения срока действия:
-
Применение и описание
Область и условия применения:
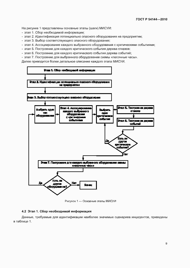
Настоящий стандарт устанавливает методологию технического регулирования и оценки рисков для промышленных инцидентов с серьезными последствиями, предназначенную для характеристики уровня риска с интегрированным индексом риска, включающим независимые параметры, связанные с оценкой последующей серьезности развития сценариев, эффективностью превентивного менеджмента и оценкой подверженности (уязвимости) окружающей среды, описывая чувствительность потенциальных объектов, потенциально подверженных негативному воздействию. Настоящий стандарт предназначен для использования на предприятиях, на которых вредные вещества присутствуют в количествах, способных нанести существенный вред здоровью людей или состоянию окружающей среды
Связи и замены
Заменяющий:
-
Описание стандарта
ГОСТ Р 54144-2010 Менеджмент рисков. Руководство по применению организационных мер безопасности и оценки рисков. Идентификация инцидентов
Страницы стандарта



























