ГОСТ 8777-80 Бочки деревянные заливные и сухотарные. Технические условия
ГОСТ
Скачать ГОСТ в PDF или DOC бесплатно
Основная информация
Обозначение:
ГОСТ 8777-80
Статус:
Действует
Тип:
ГОСТ
Название русское:
Бочки деревянные заливные и сухотарные. Технические условия
Название английское:
Wooden tight and slack barrels. Specifications
Даты и сроки
Дата издания:
05-01-08
Дата введения в действие:
01-01-82
Дата завершения срока действия:
-
Применение и описание
Область и условия применения:
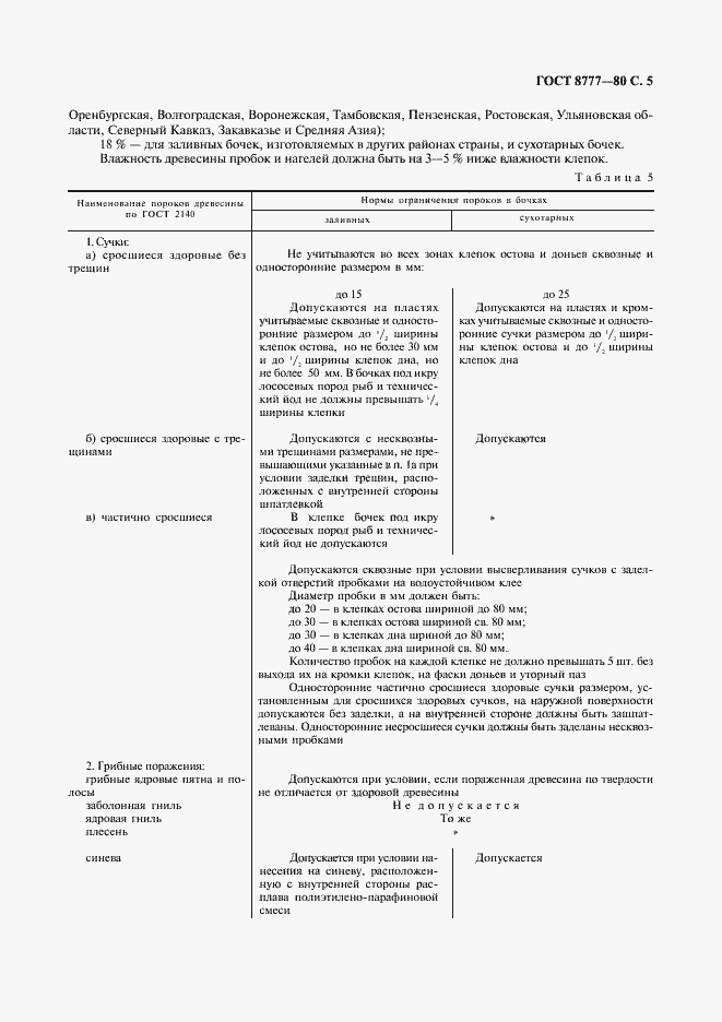
Настоящий стандарт распространяется на деревянные заливные и сухотарные бочки, предназначенные для упаковывания различной продукции, поставляемой для нужд народного хозяйства и поставки на экспорт
Связи и замены
Заменяющий:
-
Взамен:
ГОСТ 8777-74
Изменения и переиздания
Список изменений:
№1 от (рег. ) «Срок действия продлен» №2 от (рег. ) «Срок действия продлен» №3 от (рег. ) «Срок действия продлен»
Описание стандарта
ГОСТ 8777-80 Бочки деревянные заливные и сухотарные. Технические условия
Страницы стандарта














