ГОСТ Р ИСО 10014-2008 Менеджмент организации. Руководящие указания по достижению экономического эффекта в системе менеджмента качества
ГОСТ Р ИСО
Скачать ГОСТ в PDF или DOC бесплатно
Основная информация
Обозначение:
ГОСТ Р ИСО 10014-2008
Статус:
Действует
Тип:
ГОСТ Р ИСО
Название русское:
Менеджмент организации. Руководящие указания по достижению экономического эффекта в системе менеджмента качества
Название английское:
Enterprise management. Guidelines for realizing economic benefits in quality management system
Даты и сроки
Дата издания:
05-29-20
Дата введения в действие:
12-01-09
Дата завершения срока действия:
-
Применение и описание
Область и условия применения:
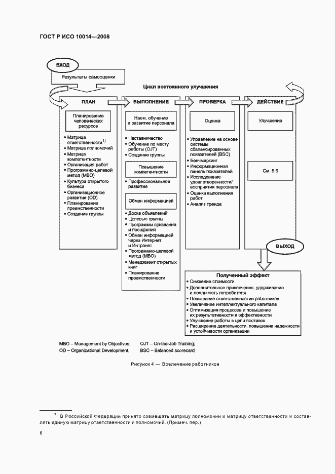
Настоящий стандарт содержит руководящие указания по достижению экономического эффекта от применения принципов менеджмента качества, установленных ИСО 9000. Настоящий стандарт, дополняющий требования ИСО 9004, предназначен для высшего руководства организации. Стандарт содержит примеры достижимых результатов и необходимых для их получения методов и инструментов менеджмента. Стандарт содержит руководящие указания и рекомендации и не предназначен для целей сертификации и/или использования в договорах
Связи и замены
Заменяющий:
-
Взамен:
ГОСТ Р ИСО/ТО 10014-2005
Описание стандарта
ГОСТ Р ИСО 10014-2008 Менеджмент организации. Руководящие указания по достижению экономического эффекта в системе менеджмента качества
Страницы стандарта






























