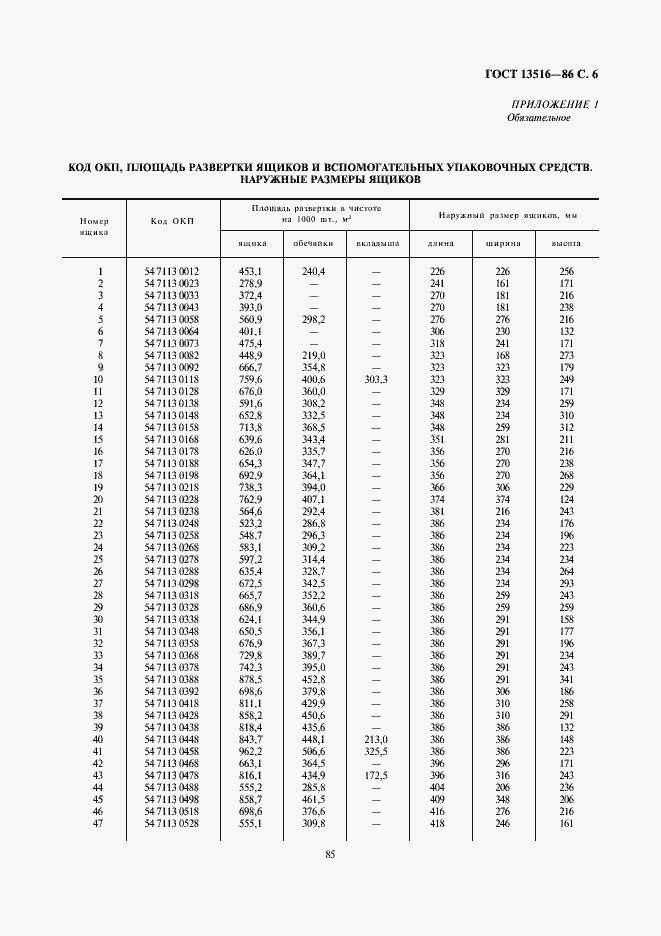
ГОСТ 13516-86 Ящики из гофрированного картона для консервов, пресервов и пищевых жидкостей. Технические условия
ГОСТ
Скачать ГОСТ в PDF или DOC бесплатно
Основная информация
Обозначение:
ГОСТ 13516-86
Статус:
Утратил силу в РФ
Тип:
ГОСТ
Название русское:
Ящики из гофрированного картона для консервов, пресервов и пищевых жидкостей. Технические условия
Название английское:
Corrugated cardboard boxes for canned food, preserves and food liquids. Specifications
Даты и сроки
Дата издания:
11-01-03
Дата введения в действие:
01-01-88
Дата завершения срока действия:
03-01-12
Применение и описание
Область и условия применения:
Настоящий стандарт распространяется на ящики из гофрированного картона, предназначенные для упаковывания, транспортирования и хранения консервов, пресервов и пищевых жидкостей, изготовляемых для нужд народного хозяйства и экспорта
Связи и замены
Заменяющий:
-
Взамен:
ГОСТ 13516-72;ГОСТ 10.72-73
Изменения и переиздания
Список изменений:
№0 от (рег. ) «Поправка к изменению» №1 от (рег. ) «Срок действия продлен» №2 от (рег. ) «Срок действия продлен»
Описание стандарта
ГОСТ 13516-86 Ящики из гофрированного картона для консервов, пресервов и пищевых жидкостей. Технические условия
Страницы стандарта













