ГОСТ 16536-90 Ящики деревянные для продукции автомобильной промышленности. Технические условия
ГОСТ
Скачать ГОСТ в PDF или DOC бесплатно
Основная информация
Обозначение:
ГОСТ 16536-90
Статус:
Действует
Тип:
ГОСТ
Название русское:
Ящики деревянные для продукции автомобильной промышленности. Технические условия
Название английское:
Wooden boxes for automotive industry products. Specifications
Даты и сроки
Дата издания:
05-01-08
Дата введения в действие:
01-01-92
Дата завершения срока действия:
-
Применение и описание
Область и условия применения:
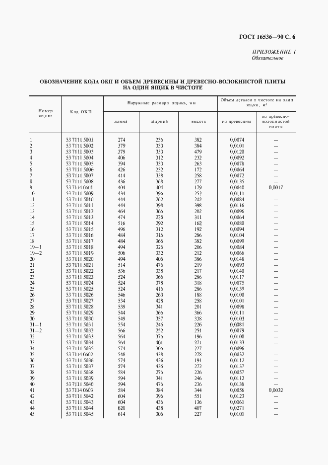
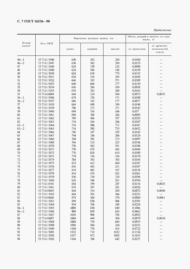
Настоящий стандарт распространяется на дощатые неразборные ящики и ящики из листовых древесных материалов, предназначенные для упаковывания, транспортирования и хранения продукции автомобильной промышленности
Связи и замены
Заменяющий:
-
Взамен:
ГОСТ 16536-84
Описание стандарта
ГОСТ 16536-90 Ящики деревянные для продукции автомобильной промышленности. Технические условия
Страницы стандарта











