ГОСТ Р 54463-2011 Тара из картона и комбинированных материалов для пищевой продукции. Технические условия
ГОСТ Р
Скачать ГОСТ в PDF или DOC бесплатно
Основная информация
Обозначение:
ГОСТ Р 54463-2011
Статус:
Отменен
Тип:
ГОСТ Р
Название русское:
Тара из картона и комбинированных материалов для пищевой продукции. Технические условия
Название английское:
Pасkаgе from рареrboard and composite materials for food-stuffs. Speсifiсаtiоns
Даты и сроки
Дата издания:
12-02-11
Дата введения в действие:
03-01-12
Дата завершения срока действия:
11-01-17
Применение и описание
Область и условия применения:
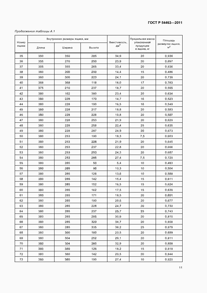
Настоящий стандарт распространяется на тару из картона и комбинированных материалов - ящики с четырехклапанными дном и крышкой, складные лотковые и оберточные ящики, предназначенные для упаковывания, транспортирования и хранения пищевой продукции. Ящики могут применяться для упаковывания другой продукции массой, не превышающей предельную, если они обеспечивают сохранность и качество продукции. Ящики, предназначенные для упаковывания, транспортирования и хранения пищевой продукции, отправляемой в районы Крайнего Севера и приравненные к ним местности, должны соответствовать ГОСТ 15846
Связи и замены
Заменяющий:
-
Изменения и переиздания
Список изменений:
№0 от (рег. ) «Текстовое изменение; Изменено заглавие»
Описание стандарта
ГОСТ Р 54463-2011 Тара из картона и комбинированных материалов для пищевой продукции. Технические условия
Страницы стандарта



















