ГОСТ Р 57271.4-2016 Менеджмент вспомогательных процессов в управлении недвижимостью. Часть 4. Таксономия, классификация и структура управления
ГОСТ Р
Скачать ГОСТ в PDF или DOC бесплатно
Основная информация
Обозначение:
ГОСТ Р 57271.4-2016
Статус:
Действует
Тип:
ГОСТ Р
Название русское:
Менеджмент вспомогательных процессов в управлении недвижимостью. Часть 4. Таксономия, классификация и структура управления
Название английское:
Facility management. Part 4. Taxonomy, classification and structures of management
Даты и сроки
Дата издания:
06-16-20
Дата введения в действие:
12-01-17
Дата завершения срока действия:
-
Применение и описание
Область и условия применения:
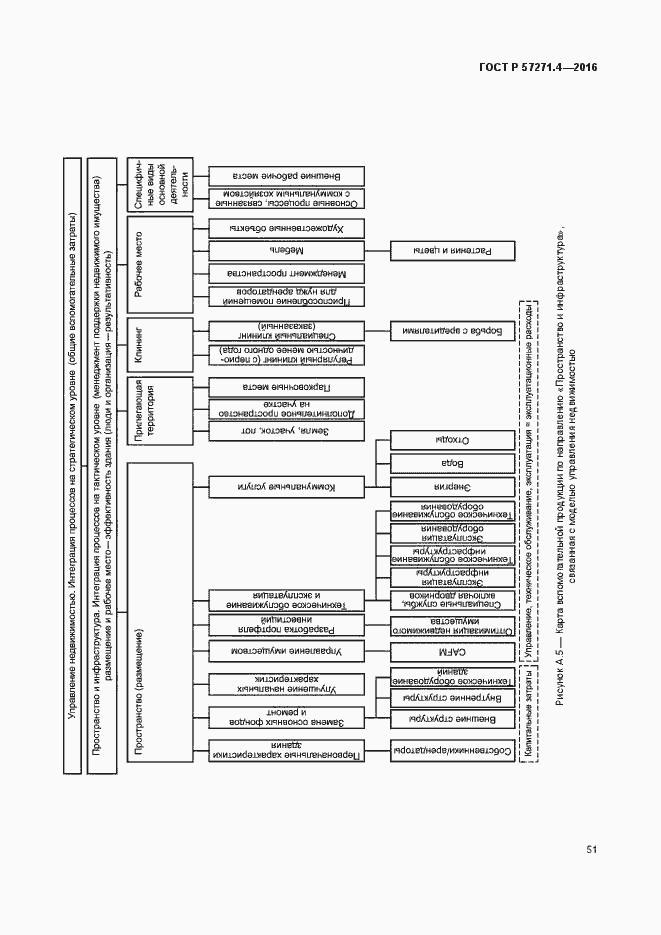
Управление недвижимостью охватывает и объединяет очень широкий спектр процессов, продукции/услуг, мероприятий и объектов. Настоящий стандарт рассматривает понятие добавленной стоимости, т. е. увеличение стоимости за счет добавления стоимости вспомогательных услуг к основным процессам или основной деятельности организации
Связи и замены
Заменяющий:
-
Описание стандарта
ГОСТ Р 57271.4-2016 Менеджмент вспомогательных процессов в управлении недвижимостью. Часть 4. Таксономия, классификация и структура управления
Страницы стандарта



















































































