ГОСТ Р 56561-2015 Материалы текстильные. Определение состава. Идентификация волокон
ГОСТ Р
Скачать ГОСТ в PDF или DOC бесплатно
Основная информация
Обозначение:
ГОСТ Р 56561-2015
Статус:
Действует
Тип:
ГОСТ Р
Название русское:
Материалы текстильные. Определение состава. Идентификация волокон
Название английское:
Textiles. Composition testing. Identification of fibres
Даты и сроки
Дата издания:
02-08-16
Дата введения в действие:
09-01-16
Дата завершения срока действия:
-
Применение и описание
Область и условия применения:
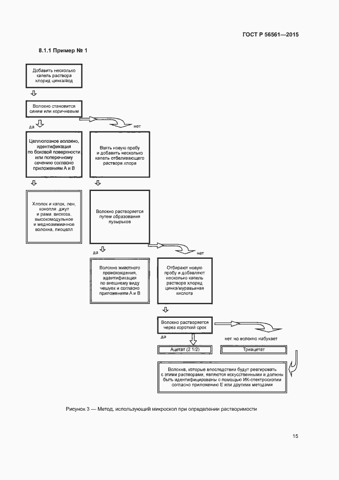
Настоящий стандарт описывает методы идентификации натуральных и химических волокон и при необходимости может быть использован совместно с методами количественного анализа смесей волокон
Связи и замены
Заменяющий:
-
Описание стандарта
ГОСТ Р 56561-2015 Материалы текстильные. Определение состава. Идентификация волокон
Страницы стандарта




























































