ГОСТ 18055-72 Материалы текстильные. Методы определения разнооттеночности
ГОСТ
Скачать ГОСТ в PDF или DOC бесплатно
Основная информация
Обозначение:
ГОСТ 18055-72
Статус:
Действует
Тип:
ГОСТ
Название русское:
Материалы текстильные. Методы определения разнооттеночности
Название английское:
Textil. Methods of determination color difference
Даты и сроки
Дата издания:
04-01-80
Дата введения в действие:
01-01-74
Дата завершения срока действия:
-
Применение и описание
Область и условия применения:
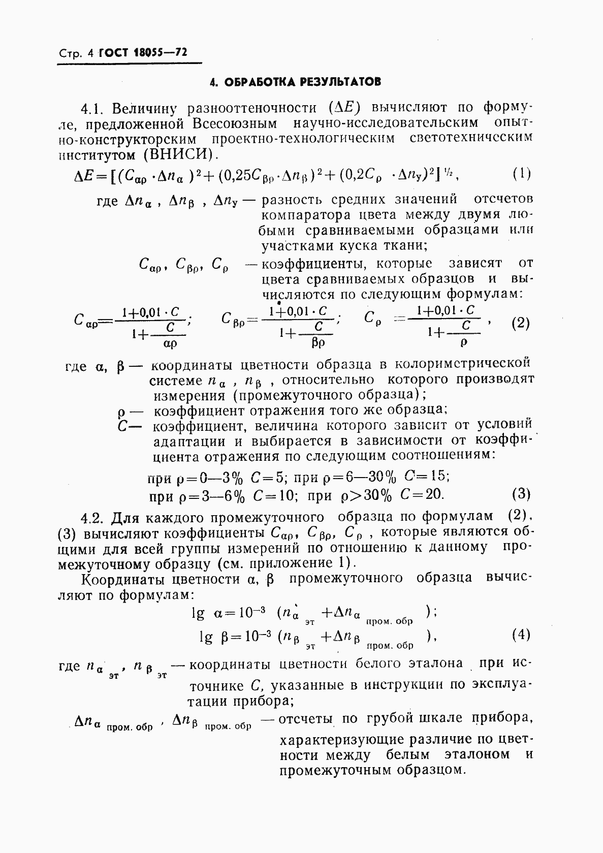
Настоящий стандарт распространяется на гладкокрашеные ткани из натуральных и химических волокон или их смесей любого цвета и уровня светлоты и устанавливает инструментальный и визуальный методы определения разнооттеночности (малых цветовых различий) внутри куска (отреза) по длине или ширине ткани или между пробами ткани
Связи и замены
Заменяющий:
-
Изменения и переиздания
Список изменений:
№1 от (рег. ) «Поправка»
Описание стандарта
ГОСТ 18055-72 Материалы текстильные. Методы определения разнооттеночности
Страницы стандарта

















