ГОСТ 28755-90 Мех искусственный тканепрошивной. Общие технические условия
ГОСТ
Скачать ГОСТ в PDF или DOC бесплатно
Основная информация
Обозначение:
ГОСТ 28755-90
Статус:
Действует
Тип:
ГОСТ
Название русское:
Мех искусственный тканепрошивной. Общие технические условия
Название английское:
Imitation fur with stitch-bonded fabrik. General specifications
Даты и сроки
Дата издания:
03-01-05
Дата введения в действие:
01-01-92
Дата завершения срока действия:
-
Применение и описание
Область и условия применения:
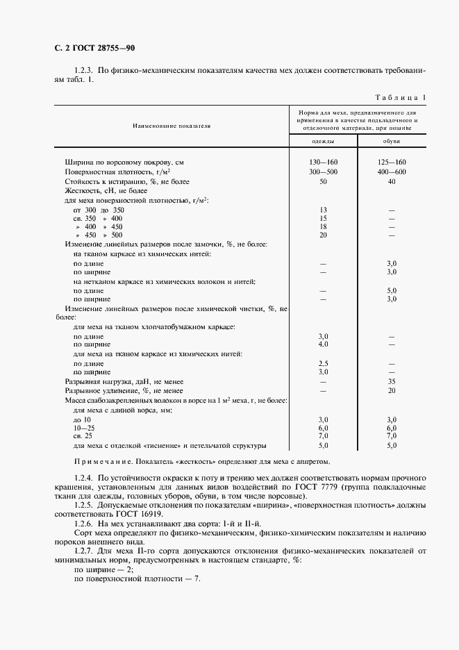
Настоящий стандарт распространяется на искусственный тканепрошивной мех, предназначенный для применения в качестве подкладочного и отделочного материала при пошиве одежды и обуви
Связи и замены
Заменяющий:
-
Взамен:
ОСТ 17-793-86
Описание стандарта
ГОСТ 28755-90 Мех искусственный тканепрошивной. Общие технические условия
Страницы стандарта






