ГОСТ Р 58542-2019 Интегрированные системы менеджмента. Руководство по практическому применению
ГОСТ Р
Скачать ГОСТ в PDF или DOC бесплатно
Основная информация
Обозначение:
ГОСТ Р 58542-2019
Статус:
Действует
Тип:
ГОСТ Р
Название русское:
Интегрированные системы менеджмента. Руководство по практическому применению
Название английское:
Integrated management systems. Practical guide
Даты и сроки
Дата издания:
10-09-19
Дата введения в действие:
01-01-20
Дата завершения срока действия:
-
Применение и описание
Область и условия применения:
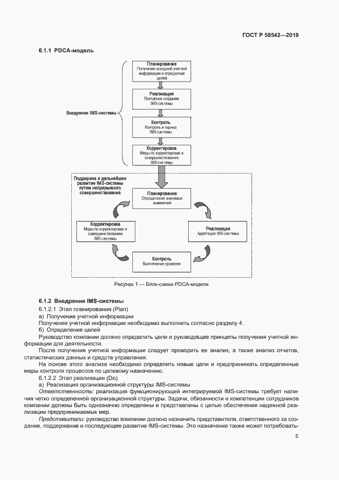
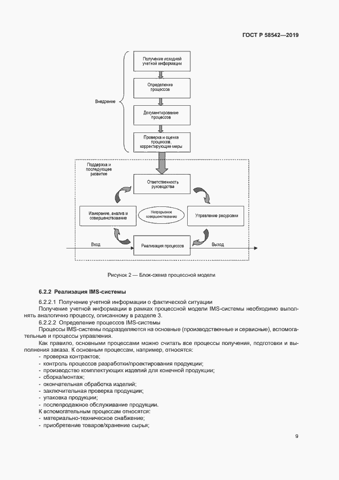
Настоящий стандарт содержит общие рекомендации по внедрению IMS-системы на предприятиях всех отраслей, вне зависимости от их типа и размера. Настоящий стандарт оставляет свободу организациям для последующего рассмотрения конкретных аспектов (например, вопросов охраны труда, эргономики или управления рисками), которые, возможно, еще не формализованы или даже не были проанализированы в организации, но которые теперь могут рассматриваться с использованием предлагаемого в настоящем стандарте подхода. Принципы непрерывного совершенствования и оценки рисков в рамках настоящего стандарта применяются повсеместно, последнее означает, что любая предпринятая мера будет предназначаться для одновременного совершенствования в нескольких областях (например, качества продукции, охраны окружающей среды, обеспечения безопасности и т. д.)
Связи и замены
Заменяющий:
-
Описание стандарта
ГОСТ Р 58542-2019 Интегрированные системы менеджмента. Руководство по практическому применению
Страницы стандарта



















