ГОСТ Р ИСО 10547-2012 Канаты двойного плетения из плиэфирных волокон. Общие технические требования
ГОСТ Р ИСО
Скачать ГОСТ в PDF или DOC бесплатно
Основная информация
Обозначение:
ГОСТ Р ИСО 10547-2012
Статус:
Действует
Тип:
ГОСТ Р ИСО
Название русское:
Канаты двойного плетения из плиэфирных волокон. Общие технические требования
Название английское:
Ropes of double braid construction from polyester fibers. General technical requirements
Даты и сроки
Дата издания:
04-01-15
Дата введения в действие:
01-01-16
Дата завершения срока действия:
-
Применение и описание
Область и условия применения:
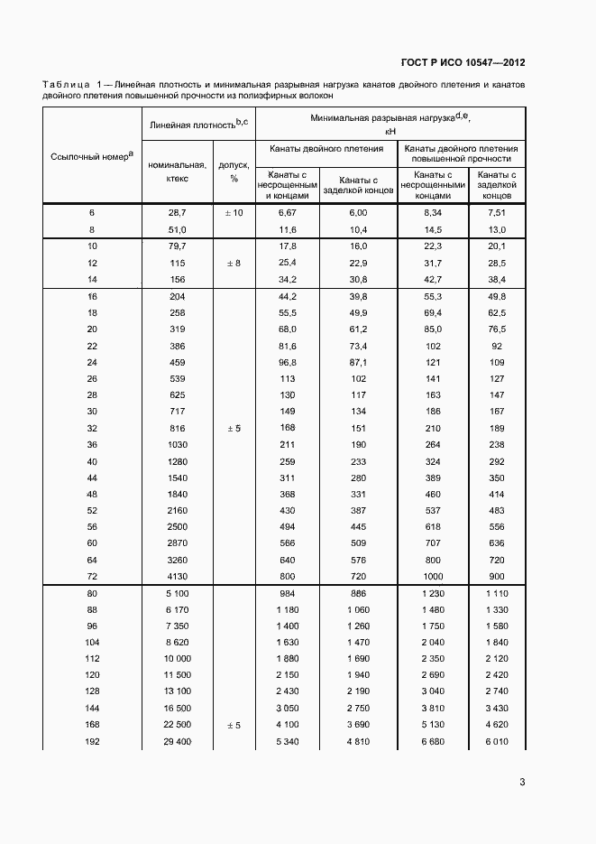
Настоящий стандарт распространяется на канаты двойного плетения и канаты двойного плетения повышенной прочности, изготовленные из полиэфирных волокон, и устанавливает общие технические требования к ним и правила их обозначения
Связи и замены
Заменяющий:
-
Описание стандарта
ГОСТ Р ИСО 10547-2012 Канаты двойного плетения из плиэфирных волокон. Общие технические требования
Страницы стандарта







