ГОСТ Р ИСО 10572-2012 Канаты из смешанных полиолефиновых волокон. Общие технические требования
ГОСТ Р ИСО
Скачать ГОСТ в PDF или DOC бесплатно
Основная информация
Обозначение:
ГОСТ Р ИСО 10572-2012
Статус:
Действует
Тип:
ГОСТ Р ИСО
Название русское:
Канаты из смешанных полиолефиновых волокон. Общие технические требования
Название английское:
Ropes from mixed polyolefin fibers. General technical requirements
Даты и сроки
Дата издания:
05-25-15
Дата введения в действие:
01-01-16
Дата завершения срока действия:
-
Применение и описание
Область и условия применения:
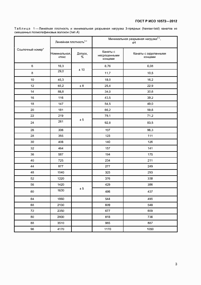
Настоящий стандарт распространяется на 3-прядные (hawser-laid), 4-прядные (shroud-laid), 8-прядные плетеные и 12-прядные плетеные канаты, изготовленные из смешанных полиолефиновых волокон, и устанавливает общие технические требования к ним и правила их обозначения
Связи и замены
Заменяющий:
-
Описание стандарта
ГОСТ Р ИСО 10572-2012 Канаты из смешанных полиолефиновых волокон. Общие технические требования
Страницы стандарта









