ГОСТ Р ИСО 1346-2014 Изделия канатные 3-, 4-, 8- и 12-прядные из полипропиленовых фибриллированных пленочных нитей, мононитей, мультифиламентных нитей (ПП 2) и полипропиленовых мультифиламентных нитей высокой прочности (ПП3). Общие технические условия
ГОСТ Р ИСО
Скачать ГОСТ в PDF или DOC бесплатно
Основная информация
Обозначение:
ГОСТ Р ИСО 1346-2014
Статус:
Действует
Тип:
ГОСТ Р ИСО
Название русское:
Изделия канатные 3-, 4-, 8- и 12-прядные из полипропиленовых фибриллированных пленочных нитей, мононитей, мультифиламентных нитей (ПП 2) и полипропиленовых мультифиламентных нитей высокой прочности (ПП3). Общие технические условия
Название английское:
Fibre ropes. Polypropylene split film, monofilament and multifilament (PP2) and polypropylene high tenacity multifilament (PP3) – 3-,4-,8- and 12-strand ropes. General specifications
Даты и сроки
Дата издания:
03-03-15
Дата введения в действие:
01-01-16
Дата завершения срока действия:
-
Применение и описание
Область и условия применения:
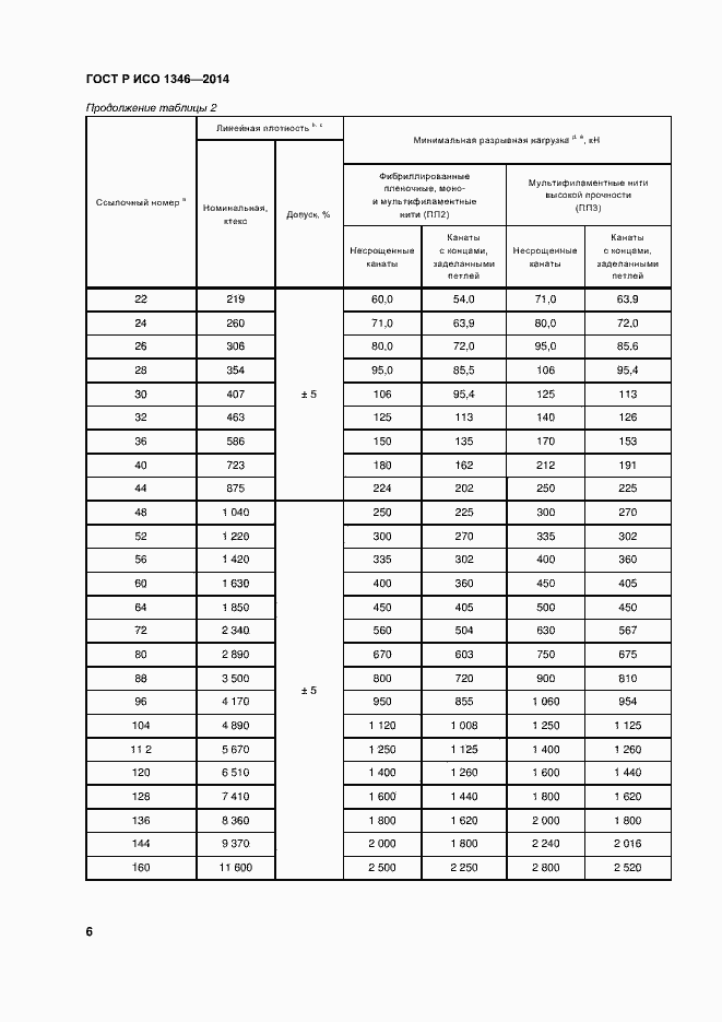
Настоящий стандарт дает правила обозначения и устанавливает требования к 3-прядным и 4-прядным крученым канатам, 8-прядным и 12-прядным плетеным канатам общего назначения, изготовленным из полипропилена
Связи и замены
Заменяющий:
-
Описание стандарта
ГОСТ Р ИСО 1346-2014 Изделия канатные 3-, 4-, 8- и 12-прядные из полипропиленовых фибриллированных пленочных нитей, мононитей, мультифиламентных нитей (ПП 2) и полипропиленовых мультифиламентных нитей высокой прочности (ПП3). Общие технические условия
Страницы стандарта













