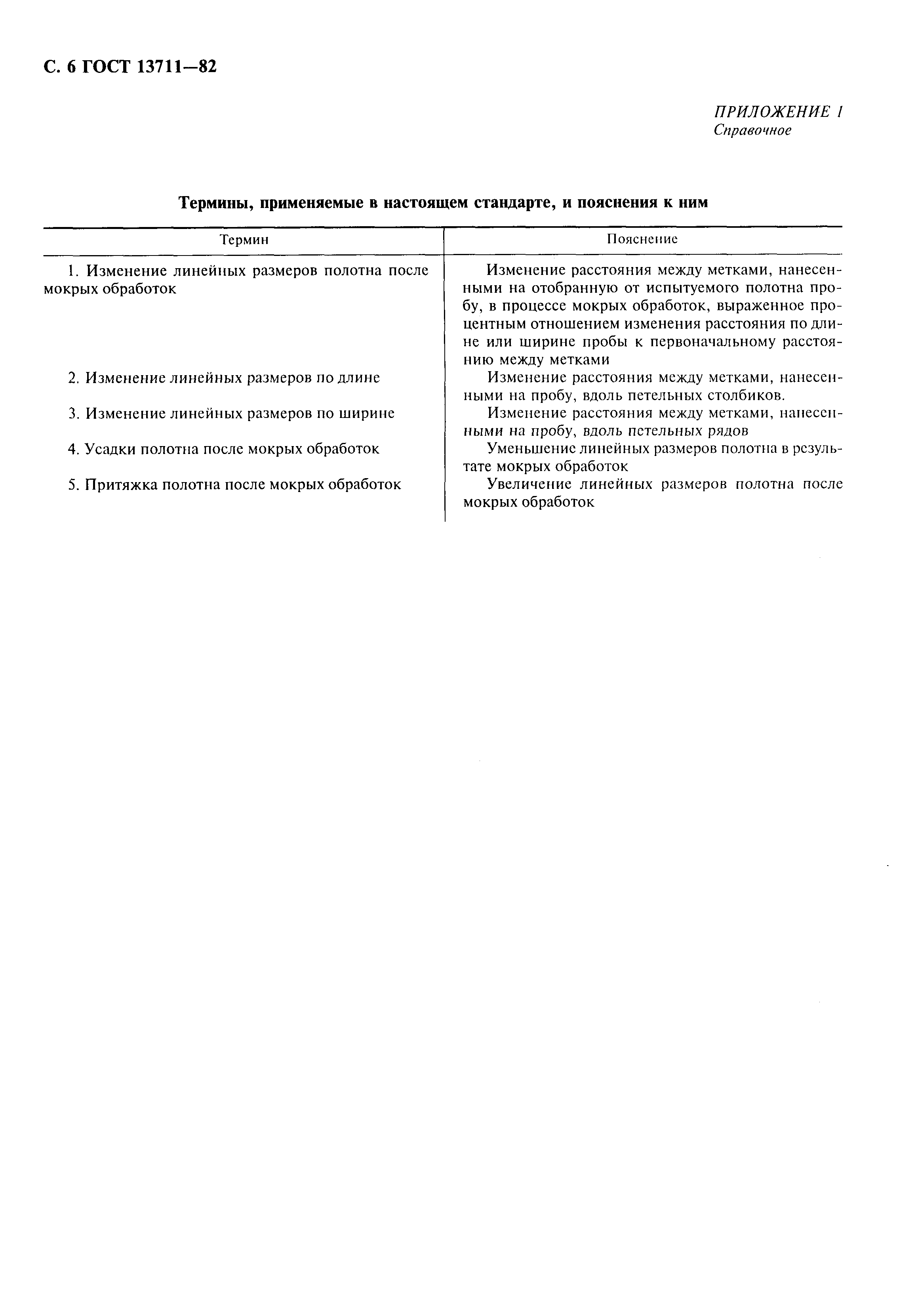
ГОСТ 13711-82 Полотна трикотажные. Метод определения изменения линейных размеров после мокрых обработок
ГОСТ
Скачать ГОСТ в PDF или DOC бесплатно
Основная информация
Обозначение:
ГОСТ 13711-82
Статус:
Заменен
Тип:
ГОСТ
Название русское:
Полотна трикотажные. Метод определения изменения линейных размеров после мокрых обработок
Название английское:
Knitted fabrics. Method of determination change in linear dimensions after wet treatments
Даты и сроки
Дата издания:
03-01-99
Дата введения в действие:
01-01-83
Дата завершения срока действия:
01-01-02
Применение и описание
Область и условия применения:
Настоящий стандарт распространяется на все виды трикотажных полотен и устанавливает метод определения изменения линейных размеров после мокрых обработок. Стандарт не распространяется на трикотажные полотна, выработанные с эффектом "плиссе" и "гофре"
Связи и замены
Заменяющий:
ГОСТ 30157.0-95
Взамен:
ГОСТ 13711-68
Изменения и переиздания
Список изменений:
№1 от (рег. ) «Срок действия продлен» №2 от (рег. ) «Срок действия продлен»
Описание стандарта
ГОСТ 13711-82 Полотна трикотажные. Метод определения изменения линейных размеров после мокрых обработок
Страницы стандарта









