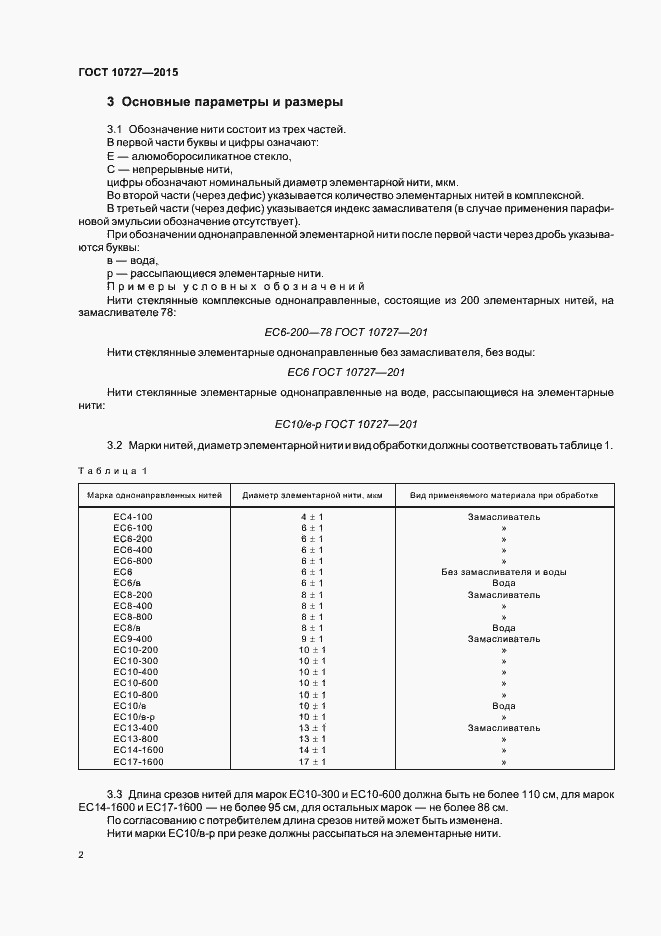
ГОСТ 10727-2015 Нити стеклянные однонаправленные. Технические условия
ГОСТ
Скачать ГОСТ в PDF или DOC бесплатно
Основная информация
Обозначение:
ГОСТ 10727-2015
Статус:
Действует
Тип:
ГОСТ
Название русское:
Нити стеклянные однонаправленные. Технические условия
Название английское:
Unidirectional glass threads. Specifications
Даты и сроки
Дата регистрации:
05-29-15
Дата издания:
05-20-16
Дата введения в действие:
06-01-16
Дата завершения срока действия:
-
Применение и описание
Область и условия применения:
Настоящий стандарт распространяется на однонаправленные стеклянные нити, представляющие собой срезы (отрезки нити определенной длины) с продукции стеклянных комплексных нитей или непрерывных элементарных нитей, предназначенных для фильтрации, изготовления теплозвукоизоляционных материалов, наполнения пластмасс и других целей
Связи и замены
Заменяющий:
-
Взамен:
ГОСТ 10727-91
Описание стандарта
ГОСТ 10727-2015 Нити стеклянные однонаправленные. Технические условия
Страницы стандарта







